
恩替卡韦/替诺福韦酯治疗初治慢乙肝的长期预后
土耳其的一项临床实践研究表明,恩替卡韦
和富马酸替诺福韦
酯(TDF)使慢性乙型肝炎病毒(HBV)感染患者实现长期有效的病毒学和生化应答,对有和无肝硬化患者均有效。文献阅读:J Viral Hepat 2014 Nov 28
病毒学和生化应答
研究中,183 例恩替卡韦治疗患者和172例TDF治疗患者实现病毒学应答(定义为血清HBV DNA水平低于20 IU/mL和谷丙转氨酶(ALT)水平正常),两组的病毒学应答率相似。两组患者均进行了不少于6个月的随访。肝硬化未对病毒学抑制产生不利影响。
治疗组间的乙肝e抗原(HBeAg)减少比例相似。恩替卡韦组105例HBeAg阳性患者中25.5%出现HBeAg减少,TDF组54 例HBeAg阳性患者中33.3%出现HBeAg减少。
1例恩替卡韦治疗患者和3例TDF治疗患者的乙肝病毒表面抗原呈阴性。

研究人员说,一定比例的患者出现肝细胞癌(HCC),但比率低于之前的报道,由于缺乏对照组,他们“不能证明”肝癌预防是抗病毒治疗的结果。
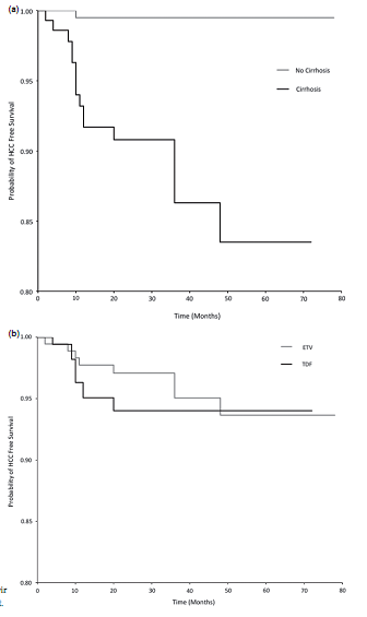
研究期间,共有17例患者(恩替卡韦组和TDF组分别为7例和10例)被诊断患有HCC,13例在治疗2年内确诊,其余在第3和第4年确诊。
1年、2年、3年和4年时HCC的年累积发生率分别为3.3%、4.2%、5.9%和7.3%,接受恩替卡韦或TDF患者间没有显著差异。

Fig.2 (a) Cumulative probability of hepatocellular carcinoma development in chronic hepatitis B patients with/without cirrhosis and (b) Under efficacy of entecavir or tenofovir disoproxil fumarate treatment.
但139例肝硬化患者中,11.5%诊断为肝癌,而216例无肝硬化患者中,0.05%诊断为肝癌,差异有统计学显著性。多变量分析显示,肝硬化和年龄较大(≥50岁)明显与肝癌的发生有关,调整后的比值比分别为20.66和4.16。

Ramazan Idilman(安卡拉大学医学院)带领下的研究小组在《病毒性肝炎杂志》上报道说,恩替卡韦和TDF的耐受性良好,任何一组均没有发生安全相关药物停药或减量。
此外,研究期间的血清肌酐
水平和肌酐清除率保持稳定,研究人员得出结论称:有或无肝硬化的慢性乙肝患者可以“安全的保持”长期恩替卡韦或TDF治疗。
编译自:Long-term entecavir, TDF effective in chronic HBV in real-world setting. medwire News,2015.