98岁超高龄患者腹腔镜胆总管探查术术中血流动力学管理1例

来源:罕少疾病杂志 2023.05.17
我要投稿

作者:黎治滔,黎建金,李杰雄,北京大学深圳医院麻醉科

 

1.病例资料

 

1.1 一般资料

 

患者,女,98岁,体重45kg,身高145cm。因“恶心呕吐1天”入院,入院后诊断胆总管结石伴急性胆管炎。既往高血压20余年,收缩压最高190mm Hg,舒张压不详,未规律治疗;糖尿病20余年,未规律治疗及监测血糖;血管源性痴呆2年余,目前规律服用利培酮5mg/日·次。

 

入院后HR 80次/分,BP 160/100mm Hg,空腹血糖5.67mmol/L,糖化血红蛋白4.4%,ALT 264U/L,总胆红素86.2umol/L,白蛋白31.3g/L,肾功能和血气分析正常。心电图示:窦性心律,心率71次/分,ST-T改变;心脏彩超示:EF60%,心脏收缩功能正常,舒张功能减退,二三尖瓣中量反流,肺动脉压约35mm Hg。胸片示:右下肺渗出性改变。头颅CT示:左侧小脑、脑桥及双侧放射冠多发脑梗塞,病灶周围未见明显水肿

 

1.2 麻醉评估

 

患者神志清楚,一般情况较差,老年营养风险指数(GNRI)82分,活动代谢当量小于4MET,Edmonton虚弱指数16分,重度虚弱状态。入院后予吸氧、心电监护、肠外营养、降压、控糖、抗感染、护肝、抑酸、解痉、补充白蛋白、调节水液及电解质平衡。利培酮具有对α受体的阻断作用,为避免术中循环波动过大,要求患者术前一天停药。

 

24小时心率大致波动于45~110次/分,血压波动于100~160/60-90mm Hg,MAP波动于70~100mm Hg。评估患者ASAⅢ~Ⅳ级,NYHA心功能Ⅲ级,Goldman心脏风险指数评估25分,改良心脏危险指数(RCRI)6分,围术期心脏并发症发生概率大于11%,Essen卒中风险评分5分,简易认知障碍筛查量表(Mini-Cog)阳性。

 

1.3 麻醉管理

 

患者8时40分入室,术前患者已在ICU行右侧颈内静脉穿刺并置入双腔中心静脉导管,入室后检查双腔均通畅,遂主管行CVP监测,副管输注乳酸林格钠500m L。建立右上肢外周静脉通路,常规监测HR、BP、Sp O2、ECG和脑电双频指数(BIS指数)。

 

ECG示窦性心律,HR 85次/分,BP 172/77(101) mm Hg,Sp O2 99%(面罩吸氧),CVP 6~7 cm H2O,BIS指数波动于88-92。1%利多卡因局麻下,行左侧桡动脉穿刺置管,连接Flotrac传感器(型号:MHD8)和EV1000监护仪连续监测心指数(CI)、每搏量变异(SVV)、每搏指数(SVI)和每搏量(SV),患者麻醉前基础CI为2.8L/(min·m2),SVV为7%,SVI为30m L/(b·m2),SV为42m L/b,MAP为109mm Hg。

 

术中血流动力学管理目标为:当CI>2.5L/(min·m2),SVV<13%,MAP>70mm Hg时,不予处理;当CI<2.5L/(min·m2),MAP<70mm Hg,评估SVV水平,若SVV>13%,则缓慢输入乳酸林格钠100~200m L直至SVV<13%,若SVV<13%,可泵入多巴胺直至MAP>70mm Hg;当CI>2.5L/(min·m2),MAP<70mm Hg时,泵入去甲肾上腺素直至MAP>70mm Hg。

 

09时28分开始缓慢行全麻诱导,根据BIS指数分次推注丙泊酚45mg,待BIS指数降至60以下且患者意识消失后,给予芬太尼0.1mg和阿曲库铵25mg。如图1所示,开始诱导后CI和MAP均逐步下降,CI最低降至1.2L/(min·m2),MAP最低降至70mm Hg,遂用可视喉镜行气管插管,插管顺利,未见呛咳,改机控通气,潮气量360m L,频率12~15次/分,维持呼末CO2 35~40mm Hg,吸入氧浓度调至50%。

 

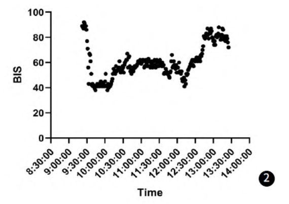
插管后心率从68次/分上升至92次/分,CI回升至2.8L/(min·m2),MAP上升至119mm Hg。麻醉维持吸入七氟醚1%~1.2%,瑞芬太尼0.1μg/(kg·min),BIS指数稳定于50~62之间(见图2),间断追加阿曲库铵,每次5mg。10时30分行血气分析示:PH 7.40,Pa CO2 38.8mm Hg,Pa O2 266mm Hg,HCO3-23.4mmol/L,BE-0.3mmol/L,Na+147mmol/L,K+3.55 mmol/L,Ca2+1.29 mmol/L,Cl-1.07mmol/L,Hb 9.1g/dl,Hct 28%,乳酸0.6 mmol/L,血糖6.5mmol/L。12时00分再次复查血气分析和血糖,结果基本如前。

 

患者HR、MAP、CI和SVV的波动情况见图1,CVP波动情况(见图3)。诱导后时CI和MAP均低于目标值,遂经中心静脉泵注多巴胺,术中给药速率波动于3~7μg/(kg·min),从图1可以看出,麻醉诱导后至离室CI大部分时间低于2.0L/(min·m2),但MAP>70mm Hg,故未进一步提高多巴胺剂量或换用其它强心药物。手术约持续3小时,手术结束时使用1%罗哌卡因行切口浸润阻滞,全程一共输注乳酸林格钠液1500m L,出血约50m L,尿250m L。

 

停止吸入七氟醚后MAP和BIS指数缓慢上升,遂停止使用多巴胺,MAP可稳定于80mm Hg以上,15分钟后患者恢复自主呼吸,25分钟后患者开始睁眼配合,BIS指数波动于75-88。患者安静,可耐受气管导管,遂将吸氧浓度降低于21%后观察5分钟,Sp O2稳定在95%以上,潮气量350~400m L,频率14~18次/分,遂拔除气管导管,后转入ICU进一步监护治疗。

 

1.4 术后转归

 

术后当晚患者出现严重心动过缓,最低心率27次/分,出现长达3~5秒全心停搏,予异丙肾上腺素静脉泵注,次日复查24小时动态心电图示:窦性心律,间歇性房颤伴短暂性全心停搏(最长3.7秒),24小时总心率为105~108次,平均心率72次/分,最慢心率39次/分,最快心率106次/分;阵发性房颤86次,持续时间5小时41分;频发缓慢交界区逸搏及逸搏心率。心内科医师会诊后,诊断病态窦房结综合征,家属拒绝置入临时或永久起搏器治疗,予异丙肾上腺素控制心率,7天后转回普通病房,14天后病情稳定出院。

 1.png

2.png

3 图都放讨论前.png

2.讨论

 

高龄患者全身各重要器官功能退化,活动耐量储备低下,常合并营养不良和慢性心脑血管疾病,对手术和麻醉耐受能力较差,围术期风险明显增加。本例患者术前一般状态较差,虚弱体质,活动后代谢当量小于4MET,基础合并症较多,入院后手术科室积极邀请呼吸科、心内科、神经内科、麻醉科、重症医学科和营养科等科室进行多学科联合会诊,并对患者进行全面老年综合评估,将患者全身机能调整至较佳状态再行手术,极大地降低了围术期手术、麻醉相关并发症发生的概率。

 

除常规监测外,术中我们对其进行血糖、血气分析、麻醉深度、有创血压、CVP和心排血量等监测,在保证适当麻醉深度的前提下,维持血流动力学平稳和内环境平衡,降低术后谵妄发生风险。老年患者药物代谢减慢,麻醉药物的选择应该以短效和较少经肝肾代谢的药物为主。

 

另外其神经和循环系统对麻醉镇静剂的敏感性均明显增加,凭借经验用药有可能会过度抑制神经、循环系统,导致麻醉过深和血压剧降,因此我们在BIS指数指导下,分次少量推注丙泊酚行全麻滴定诱导,仅需1mg/kg剂量即达麻醉状态,同时CI和MAP亦出现明显下降。麻醉维持我们选择以吸入麻醉为主,因吸入麻醉药大部分以原形自肺排出,苏醒快,更适合高龄患者的麻醉。尽管研究报道BIS维持30~39可降低老年患者术后谵妄发生率,但同时亦延长其术后恢复时间,我们仅用1%七氟醚吸入,患者BIS指数即可稳定于50~60,停药后30分钟内患者苏醒。

 

心排血量和外周血管阻力的监测在评估老年患者心脏功能,尤其是组织灌注方面具有重要意义。由于缺乏耗材,本例患者我们未能直接监测外周血管阻力。与传统的漂浮导管热稀释法(TPCO)和经食道多普勒超声法等方法不同,Flotrac系统可经外周动脉,依据动脉压力波形曲线下面积与心排血量成正比的原理计算出患者的心排血量值及其他相关参数。

 

CI反映患者心功能强弱,SVV则与反映心脏前负荷的指标有很好的相关性,可用于指导容量治疗。该患者术前MAP波动于70~100mm Hg,所以我们术中最低允许值设定为70mm Hg。通过对CI和MAP的动态监测,由于麻醉药物对老年患者循环系统的影响主要表现为心功能的抑制和外周阻力血管扩张,考虑多巴胺同时具备激动β1和α受体的效应,当CI和MAP均低于下限时,使用多巴胺改善心功能和收缩外周血管以提高MAP至目标水平以上;当CI正常,MAP过低,考虑外周血管扩张所致,使用去甲肾上腺素收缩外周血管。

 

这例患者术中CI大部分时间均低于2.5 L/(min·m2),我们担心继续增加多巴胺剂量或改用其它强心药物,会导致心脏做功增加,诱发急性左心衰和冠脉缺血的风险增大,所以我们仅将MAP调整至70mm Hg以上,保证重要器官灌注即可,并没有强求将心功能调至正常水平。

 

对于老年患者,由于其心功能受损,如该例患者,即使应用多巴胺强心后,术中CI仍持续低于正常值,术中补液需要非常谨慎,补液不足容易导致心脑血管缺血缺氧,补液过多又可能诱发急性左心衰和组织水肿,这时候麻醉医师通常使用CVP作为术中补液的重要参考指标,根据压力性的指标判断容量负荷。

 

但是胆总管探查术术中需要摆放头高脚低和右侧偏高的胆囊手术体位,再加上气腹的建立,严重影响了CVP测量的准确性,如该例患者麻醉前基础CVP为7cm H2O,摆放手术体位和建立气腹后直接下降至0cm H2O,术后又恢复至10~12cm H20(见图3)。这时候如果仍然使用CVP作来术中液体治疗的靶目标,就会导致液体负荷过高。SVV是单位时间内每搏量的变异程度,以此预测心血管系统对液体负荷的反应,进而能够更准确地判断循环系统的前负荷状态。Hofer等研究发现,SVV作为液体管理靶目标,其曲线下面积、灵敏度和特度异明显要高于CVP、PPV(脉压变异率)和GEDV(全心舒张末容积)。

 

有研究报道扩容反应在SVV 8%~13%时达最佳状态,SVV>13%提示容量欠缺,故该例患者我们将其目标值设为小于13%。但SVV仅适用于使用机械通气的患者,且潮气量需大于8m L/kg,自主呼吸时其数值与前负荷相关性较差。如图1所示,该例患者手术结束恢复自主呼吸后,SVV迅速从8%上升至15-20%以上,甚至更高,但此时CVP值为10~12cm H2O。另外若患者异位搏动超过Flotrac滤过功能(每分钟21次),SVV计算值即会出现明显误差,同时机器也会提示报警。本例患者术前并发阵发性房颤,房颤发作时SVV值不适用于指导液体治疗,诱导后改用多巴胺强心,术中基本维持窦性心律。

 

老年心脏传导系统中的起搏细胞和传导细胞随着增龄而衰退减少,故老年患者容易出现心动过缓甚至病态窦房结综合征。该患者尽管术中未发生严重心动过缓和心脏停搏,但术前若能完善24小时动态心电图明确病窦的诊断,应放置临时起搏器或准备体外起搏除颤仪,以预防术中猝死风险。低体温会减缓麻醉药物的代谢和对患者预后产生不良影响,老年患者因其体温调节能力下降,术中更容易出现体温过低,本例患者术中未能动态监测体温及施行有效的保温治疗,也是我们这例麻醉缺陷之一。

 

综上所述,超高龄患者因其心脑血管储备功能较差,行全身麻醉时循环波动极大,可以使用BIS指数和Flotrac系统动态监测麻醉深度和血流动力学指标,指导术中全身麻醉药物、血管活性药物的精确使用和施行目标导向液体治疗,有利于减少全身麻醉药物的使用和术后快速康复,降低围术期心脑血管并发症发生概率。

 

来源:黎治滔,黎建金,李杰雄.98岁超高龄患者腹腔镜胆总管探查术术中血流动力学管理1例[J].罕少疾病杂志,2022,29(10):11-12+15.