
两年年轻五个月?中国博后领衔的大规模临床研究证实,每天补充复合维生素,可减缓生物学衰老
大规模随机试验发现,复合维生素
矿物质(MVM)补充剂和可可黄烷醇可能对老年人的几种年龄相关慢性疾病有益,但目前尚不清楚这两种补充剂是否能直接减缓生物学衰老过程。
2026 年 3 月 9 日,中国科学技术大学和哈佛医学院布莱根妇女医院联合培养博士后李思
冬作为第一作者,在国际顶尖医学期刊 Nature Medicine 上发表了题为:Effects of daily multivitamin–multimineral and cocoa extract supplementation on epigenetic aging clocks in the COSMOS randomized clinical trial 的临床研究论文。
这项研究首次通过严谨的临床试验证实,每日服用复合维生素矿物质补充剂,确实能够减缓表观遗传衰老时钟,在为期 2 年的试验期间,可将“表观遗传衰老时钟” PCGrimAge 的增速减少约 5 个月。

这项研究名为“可可补充剂和复合维生素结局研究”(COSMOS),是一项大规模随机对照临床试验,其预设的辅助研究专门分析了每日补充复合维生素矿物质(使用的产品为善存银片)和可可提取物(含 500 毫克可可黄烷醇)对“表观遗传衰老时钟”的影响。
什么是“表观遗传衰老时钟”?
我们细胞中的 DNA 存在着一些名为“甲基化”的化学修饰,它会随着衰老的进行而增加,因此,研究人员通过 DNA 甲基化水平,构建出了多种“表观遗传衰老时钟”,来精准估算一个人的“生物学年龄”,以反映身体内部的实际衰老程度,这往往比实际年龄更能预测一个人的健康风险和寿命。
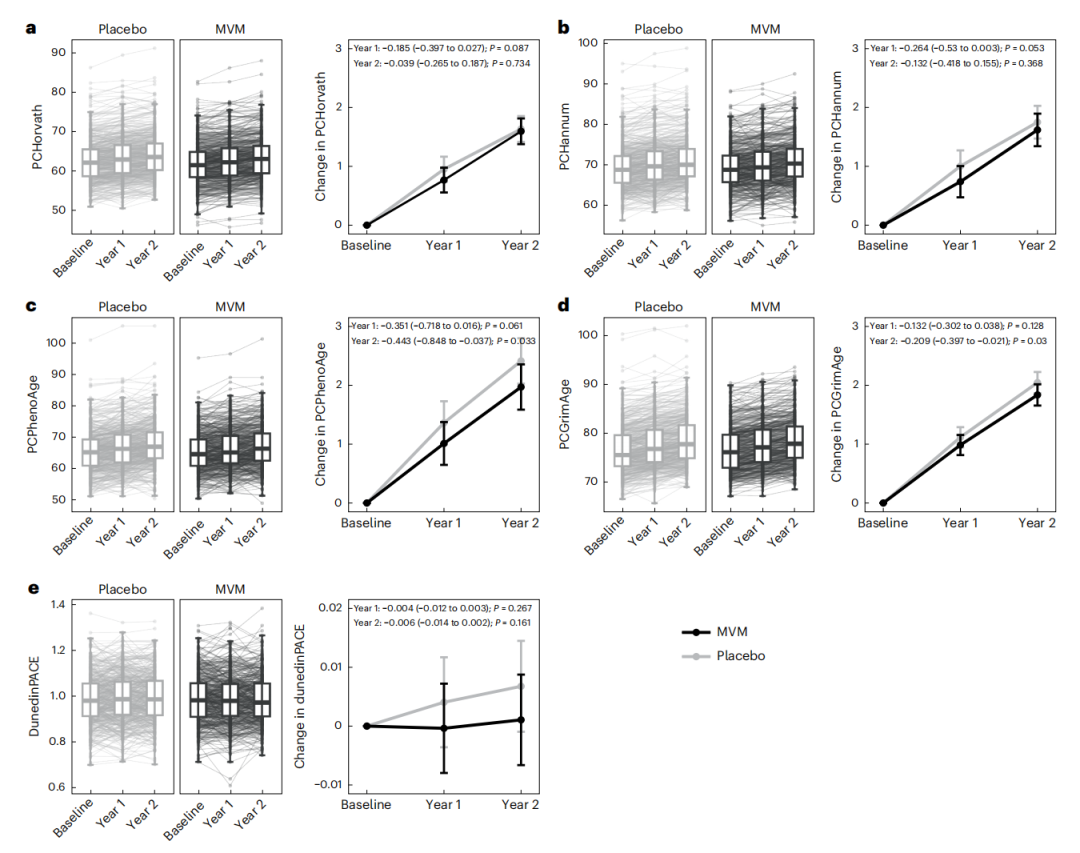
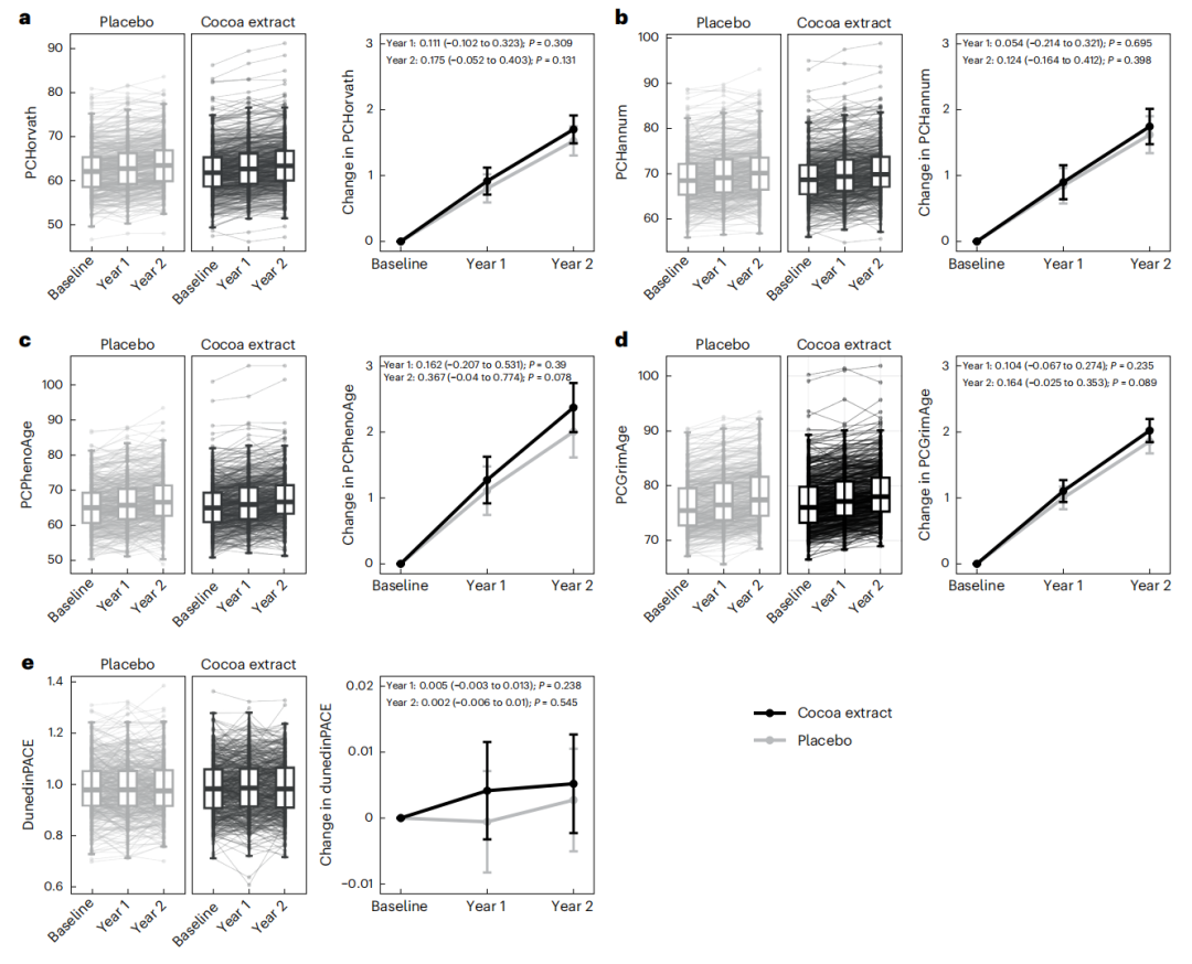
核心发现:复合维生素有效,可可提取物无效
研究团队从超过 2.1 万名老年参与者中,选取了 958 名基线时无重大疾病的健康老年人(平均年龄 70.2 岁),将他们随机分为服用补充剂组和服用外观相同的安慰剂组,进行了为期 2 年的跟踪。在试验开始、1 年后和 2 年后分别采集血样,分析五种不同的表观遗传衰老时钟(PCHannum、PCHorvath、PCPhenoAge、PCGrimAge 和 DunedinPACE)的变化。
结果显示,复合维生素能够减缓表观遗传衰老:与服用安慰剂相比,每日服用复合维生素矿物质补充剂,显著减缓了两种与死亡率风险密切相关的“第二代”表观遗传衰老时钟的增长速度——
PCGrimAge 时钟:复合维生素组每年比安慰剂组“年轻” 0.113 岁。
PCPhenoAge 时钟:复合维生素组每年比安慰剂组“年轻”0.214 岁。

这些效果在基线时生物学衰老速度更快的个体中尤为明显,对于这部分人,复合维生素使他们的 PCGrimAge 时钟每年“年轻” 0.236 岁,效果几乎是普通人群的两倍。这表明,身体“衰老更快”的人可能从中获益更大。
而可可提取物未显示效果:每日补充含 500 毫克可可黄烷醇的可可提取物,在这项研究中并未显示出对任何一种表观遗传衰老时钟有显著影响。

进一步分析发现,复合维生素可能通过提升体内叶酸
、叶黄素等关键营养素的水平,并改善与衰老相关的特定标志物(例如增加端粒长度、降低胱抑素 C 和 GDF-15 等),从而发挥延缓生物衰老的作用。
这项研究的意义
证据等级高:这是首次在大型、长期、随机双盲对照临床试验中,观察到复合维生素直接延缓表观遗传衰老生物标志物证据,为“营养干预可能延缓衰老”的假说提供了有力支持。
效果虽小但意义重大:该研究中观察到的“年轻化”幅度(每年“年轻” 0.1-0.2 岁)在统计学上显著,但绝对值不大。然而,在人群层面,这种小幅的衰老减速如果长期累积,可能对降低衰老相关疾病负担产生重要影响。
精准获益:该研究提示,生物学衰老加速的个体可能是补充复合维生素的最大受益者,这为未来个性化营养干预提供了方向。
这项研究并非鼓励所有人盲目使用复合维生素矿物质等补充剂,研究团队也在论文中谨慎指出,这种对“表观遗传衰老时钟”的减缓效应,是否能直接转化为减少心脏病
、癌症或痴呆
等具体疾病的临床获益,仍需更多研究证实。研究团队还表示,计划进一步开展后续研究,确定观察到的生物学衰老减缓现象在试验结束后能否持续。
这项研究更重要的启示在于提示我们——
确保基础营养:对于饮食不均衡的人,尤其是老年人,通过复合维生素弥补膳食缺口,可能是一种维护细胞健康、延缓内在衰老的简单策略。
关注个体差异:衰老速度因人而异,未来的健康管理可能要更加个性化。
生活方式仍是健康基石:任何补充剂都不能替代均衡饮食、规律运动和良好睡眠这些健康基石,复合维生素的作用,更像是在这些基石上进行的“精细化维护”。
总的来说,这项大规模随机对照试验为我们打开了一扇窗,让我们看到日常营养与衰老生物学之间深刻的联系。虽然“长生不老药”仍遥不可及,但科学正一步步揭示,通过合理的营养干预,我们或许能让衰老时钟走得慢一些。
论文链接:https://www.nature.com/articles/s41591-026-04239-3