
中国之声 | 石远凯教授:免疫治疗破局罕见腺泡状软组织肉瘤,DCR达86.5%!
编辑:小园XY
医脉通整理,未经授权请勿转载。
腺泡状软组织肉瘤
(ASPS)是一种罕见且独特的软组织肉瘤(STS)亚型,治疗手段有限。目前NCCN指南仅推荐两种VEGFR TKI可用于ASPS。既往研究显示,免疫治疗在ASPS中有潜在的抗肿瘤活性。中国医学科学院肿瘤医院石远凯教授团队开展了首项多中心II期研究,旨在评估geptanolimab (GB226)在转移性ASPS患者中的疗效。研究结果近日发表在《Clinical Cancer Research》(IF:10.107)。

研究背景
腺泡状软组织肉瘤(ASPS)是一种罕见且独特的软组织肉瘤(STS)亚型,仅占STS的0.5%~1.0%。STS占所有恶性肿瘤的0.8%。2014年,中国约有39900例新发ASPS病例。治疗方案通常以手术切除为主,而ASPS对蒽环类为基础的化疗并不敏感。
转移性ASPS患者的中位总生存期(OS)仅为3年。由于ASPS为罕见疾病,大部分研究数据来自回顾性研究,治疗方案很少。目前NCCN指南推荐两种VEGFR TKI舒尼替尼
和帕唑帕尼用于ASPS的治疗。既往研究显示,舒尼替尼的客观缓解率(ORR)为40%~62.5%,中位无进展生存期(PFS)为13~19个月。帕唑帕尼的ORR为16.7%~27.6%,中位PFS为5.5~13.6个月。近期,一项II期研究显示,另一种VEGFR TKI cediranib的ORR为19%,中位PFS为10.1个月。
免疫治疗在ASPS患者中显示出令人鼓舞的疗效。在一项临床研究中,4例患者接受免疫治疗,有2例患者(既往2~4线治疗失败)达到部分缓解(PR),且缓解分别持续了8个月和12个月。另一项研究中,阿昔替尼
+帕博利珠单抗
治疗11例ASPS患者的ORR达到54.5%,中位PFS为12.4个月。
geptanolimab (GB226)是一种完全人源化的PD-1抗体,中国医学科学院肿瘤医院石远凯教授团队开展了一项II期Gxplore-005研究,旨在评估geptanolimab在不可切除、复发或转移性ASPS患者中的疗效。
研究方法
Gxplore-005研究是一项多中心II期单臂研究,研究纳入来自中国11个地区的18~75岁不可切除、复发或转移性ASPS患者。主要入组标准为:ECOG评分为0或1,至少有一个可测量病灶,良好的血液学、肾脏和肝脏功能。入组时有足够可获取的组织标本,预期寿命超过3个月。主要排除标准包括需要免疫抑制治疗或系统类固醇治疗的患者、既往接受过免疫检查点抑制剂治疗、有临床症状的中枢神经系统(CNS)受累、HIV阳性、乙型肝炎、丙型肝炎等。入组患者每两周接受geptanolimab(3mg/kg,静脉注射),直至疾病进展或出现不可接受的毒性。主要研究终点为独立评审委员会(IRC)评估的ORR。
研究结果
2018年9月6日至2019年3月6日期间,共纳入37例患者,其中62.2%为经治患者。诊断为ASPA至接受首剂geptanolimab的中位时间为1.9年。31例接受了手术治疗,其中77.4%患者接受了根治性外科手术,手术至接受geptanolimab治疗的中位时间为15.2个月。37例患者中,51.4%患者既往接受过VEGFR TKI,32.4%患者既往接受过放疗。入组时,94.6%患者已发展为转移性疾病,18.9%患者为脑转移。

图1 试验流程图
2019年9月6日数据截止时,23例患者仍在接受治疗,14例患者已停止治疗。
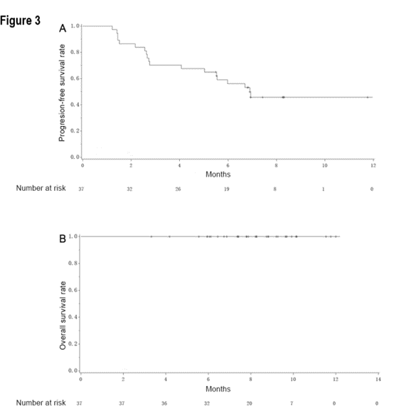
中位随访时间为8个月,接受geptanolimab的中位剂量为17。确认的ORR为37.8%,疾病控制率(DCR)为86.5%(图2A)。中位缓解持续时间(DOR)未达到,6个月DOR率为91.7%(图2B)。中位PFS为6.9个月,3个月PFS率和6个月PFS率分别为70.3%和56.1%(图3A),中位OS尚未成熟(图3B)。

图2 IRC评估的最佳靶病灶大小变化和治疗持续时间

图3 IRC评估的PFS和OS结果
安全性
86.5%的患者发生了治疗相关不良事件(TRAE)。最常见的TRAE为皮疹
(18.9%)、血清促甲状腺激素增高(18.9%)、甲状腺功能减退(16.2%)、白细胞减少(13.5%)、贫血
(13.5%)、血胆红素增加(13.5%)、嗜中性粒细胞计数减少(13.5%)、ALT升高(10.8%)、发烧(10.8%)、高尿酸血症(2.7%)。
生物标志物分析
37例患者中,32.4%患者为PD-L1阳性(CPS≥1),29.7%患者肿瘤细胞PD-L1表达≥1%。CPS≥1(33.3%)和CPS<1(40.0%)患者的缓解率无差别。37例患者中有29例患者的FFPE组织可进行MSI检测,29例患者均为微卫星稳定(MSS)。27例患者检测了肿瘤突变负荷(TMB)水平,TMB均<1Mut/Mb。
研究者评估了基线淋巴细胞组成与治疗有效率的相关性。结果发现,与应答者相比,非应答者的CD4+ T比例明显较高(P=0.031)。此外,研究者评估了geptanolimab对T细胞亚群的影响,与基线时相比,6周首次评估时CD4+ T细胞计数明显降低(P=0.021)。
研究结论
PD-1单抗可使转移性ASPS患者获得潜在的临床获益,尤其对于VEGFR TKI难治性患者。Gxplore-005是评估PD-1单抗用于不可切除、复发或转移性ASPS患者的首项多中心II期研究。Geptanolimab在不可切除、复发或转移性ASPS患者显示出有临床意义的抗肿瘤活性和较好的安全性。
参考文献
Shi Y, Cai Q, Jiang Y, Huang G, Bi M, Wang B, Zhou Y, Wang G, Ying H, Tao Z, Shi C, Guo Q, Gao C. Activity and Safety of Geptanolimab (GB226) for Patients with Unresectable, Recurrent, or Metastatic Alveolar Soft Part Sarcoma: A Phase II, Single-arm Study. Clin Cancer Res. 2020 Oct 12. doi: 10.1158/1078-0432.CCR-20-2819. Epub ahead of print. PMID: 33046518.