
2021EHA大咖评谈丨李娟教授:新诊断多发性骨髓瘤的前沿热点
第26届欧洲血液学会(EHA)年会将在2021年6月9-17日以线上会议的形式举办,大会即将报道的部分内容已经提前公布。其中,多发性骨髓瘤(MM)领域研究结果引起了业内广泛关注。【医脉通】对新诊断多发性骨髓瘤(NDMM)的最新进展进行了精选汇总,并特邀来自中山大学第一附属医院李娟教授进行精彩解读。
【LB1901】MAIA研究5年随访的OS数据报道
MAIA Ⅲ期研究纳入737例因年龄≥65岁或合并症不适宜大剂量化疗和自体干细胞移植(ASCT)的NDMM患者,评估接受达雷妥尤单抗、来那度胺、地塞米松(D-Rd)(n=368)或来那度胺、地塞米松(Rd)(n=369)治疗的有效性和安全性。
在中位随访近5年(56.2个月)后,观察到与Rd相比,D-Rd显著降低了32%死亡风险;两组中位OS均未达到(NR),D-Rd组患者5年OS率为66.3%,Rd为53.1%。两组中位PFS分别为NR和34.4个月(p<0.0001)。D-Rd组患者5年PFS为52.5%,Rd为28.7%。D-Rd组总体缓解率(ORR)为92.9%,而Rd组为81.6%(p<0.0001)。


图1:DRd vs Rd的中位PFS、OS
更长时间的随访未出现新的不良事件。D-Rd/Rd组最常见的(在任一组中发生率>15%)3-4级不良事件是中性粒细胞减少症(54.1%/37.0%)、肺炎(19.2%/10.7%)、贫血(16.8%/21.6%)和淋巴细胞减少(16.5%/11.2%)。
【Oral180】CASSIOPEIA研究:与观察组相比,适合移植NDMM患者在诱导/巩固治疗之后使用达雷妥尤单抗维持治疗的MRD-率更高,PFS更长
CASSIOPEIA Ⅲ期研究第2部分纳入在第1部分实现≥部分缓解(PR)的886例适合移植NDMM患者,随机1:1分组。接受达雷妥尤单抗(DARA)每8周1次维持治疗2年(n=442)vs 观察(OBS)(n=444)至疾病进展。
中位随访35.4个月的研究结果显示,DARA维持治疗组的中位PFS未达到,OBS组为46.7个月(p<0.0001),DARA维持治疗组的中位TTP未达到,OBS组为46.7个月(p<0.0001),DARA维持治疗组≥CR率更高(72.9%vs 60.8%;p<0.0001)。≥CR的患者中,DARA维持治疗组微小残留病阴性(MRD-)为58.6%,OBS组为47.1%(p=0.0001)。此外,DARA维持治疗的耐受性良好,没有出现新的不良事件信号。


图2:DARA维持组 vs 观察组的疗效
【Oral181】D-CVRd诱导和增强ASCT治疗UHiR NDMM和PCL疗效喜人
OPTIMUM/MUKnine研究纳入2017-2019年期间107例UHiR NDMM患者,旨在观察经中心分子筛查鉴定为超高风险新诊多发性骨髓瘤(UHiR NDMM)和浆细胞白血病(PCL)患者,在风险分层临床试验中使用达雷妥尤单抗+环磷酰胺+硼替佐米+来那度胺+地塞米松(Dara-CVRd)诱导并使用增强高剂量美法仑(HDMEL)和ASCT治疗的NDMM UHiR和PCL患者的治疗缓解率和MRD阴性率。
中位随访22.2个月的结果显示,诱导治疗结束后,意向治疗人群ORR为94%、CR为22%、VGPR为58%、PR为15%、PD为1%、MRD-为41%;移植后100天ORR为83%、CR为47%、VGPR为32%、PR为5%、PD为7%、MRD-为64%。PCL患者在移植后100天的反应率相对较低(CR为22%、VGPR为22%、PR为22%、PD为22%)。诱导治疗期间最常见的3/4级不良事件是中性粒细胞减少(21%)、血小板减少(12%)和感染(12%),3级神经病变率为3.7%。
【Poster1015】在接受PIs+/-IMiDs诱导治疗的NDMM患者中,与SDT相比,HDT-AHCT早期强化巩固治疗改善PFS
该研究纳入IFM 2009、EMN02 / HOVON 95、RV-MM-EMN-441、RV-MM-PI-209和FORTE 5项基于蛋白酶体抑制剂(PI)和/或免疫调节药物(IMiD)的标准剂量治疗(SDT)和大剂量化疗-自体造血细胞移植(HDT-AHCT)的随机对照试验(RCT)进行系统回顾和荟萃分析。
结果显示,与SDT相比,使用HDT-AHCT进行的早期强化巩固治疗可带来更好的PFS,在高危和标危患者中均有PFS获益。其中3个RCT(EMN02 / HOVON95,RV-MM-EMN-441和RV-MM-PI-209)的亚组报告了高危组患者的OS,分析显示,与标危患者相比,早期HDT-AHCT对高危患者的OS获益更大。
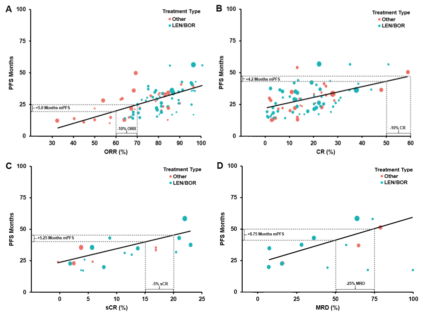
【Poster1025】MRD可以作为NDMM患者临床试验中PFS的潜在替代终点
研究纳入75项报告了ORR、CR、sCR或MRD和中位PFS的RCT研究,分析PFS与ORR,CR,sCR或MRD的相关性和可替代性,并对20项RWE研究进行MRD与生存预后关系的综述分析。
结果显示PFS与ORR(r=0.59),CR(r=0.48),sCR(r=0.68)和MRD(r=0.69)之间存在中等至强的显著相关性。未经调整的分析模型估计,ORR、CR、sCR和MRD每增加一个百分点,中位数PFS分别会增加0.50、0.42、1.05和0.35个月。对ORR和CR参数调整之后,相关性仍然显著,对RWE的系统评价显示,有20项研究分析了生存与MRD之间的相关性,其中12项发现生存与MRD-显著相关(p<0.05)。

图3:PFS与ORR、CR、sCR或MRD的相关性分析
【Poster1270】ASCT是MM严重肾损伤患者有效且安全可行的治疗方法
回顾性单中心研究纳入中位年龄为54岁(19-65)岁的64例肾衰竭并接受ASCT治疗的MM患者。根据ASCT时是否依赖透析分组,分析肾衰竭患者行ASCT后的并发症和输血需求。A组为ASCT时未进行透析的患者(n=54),B组为ASCT时有透析依赖的患者(n=10)。
结果显示, B组患者疱疹病毒感染的再激活发生率比A组高(30%vs 6%,p=0.04),可逆性中毒性脑病的发生率更高(20%vs 0%,p=0.02),对红细胞输注的需求量显著更大(100%vs 37%,p=0.001)。
ASCT后100天,患者ORR从91%增加到96%,CR从45%增加到64%,完全肾脏缓解从28%增加到34%,但是总肾脏缓解率仍然在80%以内。诊断时23例依赖肾脏替代疗法的患者行诱导治疗+ASCT后有14例患者(61%)不再依赖血液透析。中位随访48个月时,5年OS率为70%,5年PFS率为42%。

图4:MM严重肾损患者接受移植前后的缓解率对比
专家点评
近年来,治疗MM新药研究非常迅速,蛋白酶体抑制剂、免疫调节剂、单克隆抗体等药物的相继应用,医生手中可以使用的“武器”越来越多。如何“排列组合”这些“武器”,使他们发挥最大的价值是临床医生最为关注的问题。
本次EHA大会公布了多项NDMM的临床试验,可以为血液科医生的临床实践带来一些启示。MAIA研究5年随访结果显示,与Rd相比,D-Rd治疗不适合移植NDMM患者可降低32%死亡风险。CASSIOPEIA研究进一步证明达雷妥尤单抗单抗在NDMM患者诱导治疗、巩固治疗和维持治疗等全程管理的各环节都有显著获益,相信在未来临床实践中,达雷妥尤单抗的应用将近一步提前,让好药可以发挥最大的价值,造福更多MM患者。
研究者开始更加关注到MM领域的难点问题。近几年,越来越多关于MM的生物学特点、预后分层改进、早期复发高危患者的治疗、并发症严重患者的治疗等方面的最新成果发表。本次EHA大会有多篇文章都探索了这些问题。在疾病预后方面,研究者更加关注MRD是否可以作为NDMM患者临床试验中PFS的潜在替代终点。
在特殊人群治疗方面,D-CVRd五药联合诱导治疗和增强ASCT治疗UHiR NDMM和PCL取了较高的缓解率,为临床实践中这部分患者的治疗提供了思路;对于早期复发的高危患者,大剂量的预处理方案及移植巩固治疗可能带来更高的OS获益;此外,移植对MM严重肾损伤患者来说,也是有效且安全可行的治疗方法。

李娟 教授
中山大学二级教授,一级主任医师,博士生导师,中山大学名医
中山大学血液病研究所所长,中山一院内科主任,血液科主任
广东省医师协会血液科医师分会主任委员
广东省医学会血液病学分会前任主任委员
广东省健康管理学会血液病学专业委员会主任委员
中华医学会血液学分会常委、浆细胞疾病学组组长
中国医师协会血液科医师分会常委、多发性骨髓瘤专业委员会副主委
中国女医师协会血液专业委员会、海峡两岸医药卫生交流协会血液病学专业委员会、中国医疗保健国际交流促进会血液学分会、中国医药教育协会血液学专业委员会副主任委员
中国老年医学学会血液学分会常委
国际骨髓瘤协会和亚洲骨髓瘤网成员
主持过或正主持的基金有国自然基金等20多项,以第一作者或通讯作者发表论文200多篇,SCI收录70多篇,以第一负责人获广东省科技进步一等和三等奖,华夏医学奖二等奖,主编专著6部。
参考文献:
1.Thierry Facon,et al.2021EHA:LB1901.
2. Philippe Moreau,et al.2021EHA:Oral180.
3. Martin Kaiser,et al.2021EHA:Oral181.
4. Samiksha Gupta,et al.2021EHA:Poster1015.
5. Patrick Daniele,et al.2021EHA:Poster1025.
6. Maiia Firsova,et al.2021EHA:Poster1270.