
2021 ASH 骨髓瘤 | 夏忠军教授:MM维持治疗进展——来那度胺仍是标准治疗方案
多发性骨髓瘤
(MM)是一种克隆浆细胞
异常增殖的恶性疾病,目前仍无法治愈,有研究数据显示,若MM患者不进行维持治疗,即使前序治疗达到MRD阴性,仍有20%的患者在一年内复发[1],所以无论患者是否移植,维持治疗可持续抑制骨髓瘤细胞,为MM患者带来更深缓解和更长生存,是MM全程管理的重要组成部分。2021年美国血液学年会(63rd-ASH)于12月11日~14日正式召开。本次大会摘要公布了多项MM维持治疗研究结果。
中国26家中心对伊沙佐米
及联合方案维持治疗的回顾性数据
本次ASH会议【摘要号2718】[3]公布了来自26家中国医疗中心的105例初治多发性骨髓瘤(NDMM)患者接受伊沙佐米单药或联合方案的回顾性横断面研究数据,诊断时患者的平均年龄为59.82±9.80岁,49.04%为ISS 3期患者,62.86%的患者ECOG≥2,38.1%患者接受过移植。44.76%患者接受伊沙佐米单药维持方案,28.57%患者接受伊沙佐米联合的双药维持方案,26.67%患者接受基于伊沙佐米联合的三药维持方案,中位维持治疗7.0个月,维持治疗后4.76%患者缓解得到改善,52.38%患者缓解无变化,10.48%患者发生疾病进展。至首次诊断后超过70个月的随访结束时,中位无进展生存期(PFS)为69.45(95%CI:31.42-107.48)个月,中位总生存期(OS)尚未达到。8例患者(7.62%)发生≥3级治疗期间出现的不良事件(TEAE);5.7%因TEAE停止治疗。常见的任何级别TEAE包括疲乏(18.1%)、腹泻
(16.19%)和周围神经病变(11.43%)。
TOURMALINE-MM3和MM4研究中期分析结果公布:对于NDMM患者,相比安慰剂组,伊沙佐米维持治疗组并未改善OS
两项在NDMM患者中进行的单药伊沙佐米维持治疗的全球、随机、安慰剂对照、Ⅲ期临床试验TOURMALINE-MM3(移植后患者)和TOURMALINE-MM4(未移植患者)均显示伊沙佐米维持治疗相较于安慰剂可显著改善患者PFS,本次ASH会议【摘要号1656】[2]也报告了这两项临床研究的OS中期分析,至截止时间(MM3,2021年1月29日;MM4,2020年10月15日),两项研究中伊沙佐米维持治疗组与安慰剂组相比,OS均无显著差异。在MM3研究中,随访64个月,伊沙佐米维持治疗组的5年OS率为74%,安慰剂组为73%(HR 1.008, 95%CI:0.744-1.367, P=0.958);在MM4研究中,随访36个月,伊沙佐米维持治疗组的5年OS率为55%,安慰剂组为56%(HR 1.136, P=0.382) (见下图)。

荟萃分析显示:无论是否适合移植,相比伊沙佐米,来那度胺
对于PFS有更多获益机会
NCCN指南[4]推荐适合移植和不适合移植MM患者都优先首选来那度胺进行维持治疗,也可选择硼替佐米
、伊沙佐米,但尚缺乏这些药物在维持治疗背景下头对头比较的Ⅲ期随机试验(RCT)。本次ASH会议【摘要号3776】[5]公布了来那度胺(Len)对比伊沙佐米(Ixa)维持治疗NDMM的一项系统综述和荟萃分析,本分析共纳入8项研究,包括3229例移植和1689例未移植的NDMM患者。与安慰剂相比,Len在移植后(Len:风险比[HR)0.46,95%CI:0.35-0.56,高度确定;Ixa:HR 0.72,95%CI:0.46-1.13,中度确定)和非移植维持治疗(Len:HR 0.46,95%CI:0.29-0.75,高度确定;Ixa:HR 0.69,95%CI:0.43-1.18,中度确定)方面显著改善PFS(见下表)。贝叶斯模型表明,在移植患者和非移植患者中,与伊沙佐米相比,来那度胺分别有97%和93%的概率获得更好的PFS。

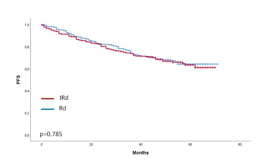
GEM2014MAIN研究:对于移植后NDMM,IRd对比Rd维持治疗方案,5年PFS率无差异,且亚组分析显示,无论标准(SR)还是高危(HR)细胞遗传学患者,两组间的PFS和OS均无显著差异
来那度胺是目前移植后MM患者标准的维持治疗方案,其与伊沙佐米联合方案也备受临床关注。本次ASH会议【摘要号466】[6]公布了西班牙GEM2014MAIN试验的结果,研究纳入466例NDMM患者,评估自体造血干细胞移植
(ASCT)后使用伊沙佐米联合来那度胺和地塞米松
(IRd)对比来那度胺联合地塞米松(Rd)维持治疗的潜在获益,GEM2012MENOS65试验(包括VRD-GEM诱导、ASCT以及VRD-GEM巩固治疗)后至少达到疾病稳定的患者随机接受IRd vs. Rd维持治疗,每个周期持续28天。Rd组包括第1-21天来那度胺15mg/日和第1-4天和第9-12天口服20mg地塞米松。在IRd组中,在周期第1、8和15天添加伊沙佐米4mg/天。第2年,MRD阴性患者中止维持治疗,MRD阳性患者继续接受Rd治疗3年,仅在周期的第1-4天给予20mg地塞米松。2014年11月24日至2017年5月18日,161例患者被分配至Rd组,171例患者被分配至IRd组。中位随访56个月,IRd vs. Rd两个维持组之间PFS没有差异,5年PFS率:IRd和Rd分别为62%与63%,p=0.785(见下图),在亚组分析中:标准(SR)或高危(HR)细胞遗传学患者两组间的PFS和OS均无显著差异,其中在HR患者,IRd组的中位PFS为62个月,而Rd组未达到(p=0.636)。

专家点评
尽管目前MM领域取得了巨大的进展,但其仍然不可治愈,大多数患者仍会经历疾病复发,长期的维持治疗对延缓疾病进展和延长生存期至关重要,维持治疗的选择显得尤为重要。
在本次ASH报道的研究中可以看出,国内单臂回顾性研究显示伊沙佐米单药或联合方案可使患者获得较长PFS,但是从全球大Ⅲ期TOURMALINE-MM3(移植后)和TOURMALINE-MM4(非移植)更新数据来看,两项研究中伊沙佐米维持治疗组与安慰剂组相比,OS并无显著差异。
样本量最大的全球多中心Ⅲ期研究Myeloma XI显示,使用来那度胺维持治疗可显著延长PFS达57个月(观察组为30个月,P<0.0001),可显著提高3年OS率达87.5%(观察组为80.2%,P=0.014)。对于移植后患者,大型经典研究荟萃分析显示,来那度胺维持治疗中位PFS可达52.8个月(观察组为23.5个月),可降低52%的进展或死亡风险(HR 0.48; 95%CI:0.41-0.55),中位OS未达到(观察组为86个月,P=0.001);对于不适合移植患者,SWOG S0777研究显示8周期RVd诱导后用Rd持续治疗,中位随访84个月,中位PFS达41个月,中位OS未达到。
NDMM维持治疗的系统综述和荟萃分析显示,在移植和非移植患者中,与伊沙佐米相比,来那度胺分别有97%和93%的概率获得更好的PFS。在移植患者中,无论是标危还是高危细胞遗传学患者,Rd方案维持的基础上加用伊沙佐米并没有获得PFS和OS的延长。来那度胺是MM患者维持治疗的标准治疗药物,大量循证证据证实,无论是PFS还是OS,来那度胺都体现了非常好的疗效。来那度胺具有独特的双重作用机制,可以作为基石药物,和很多不同机制药物联合起到协同抗肿瘤的作用;同时,来那度胺作为免疫调节剂,能够显著提高机体自身免疫力。无论是否移植,NCCN指南均优先推荐来那度胺作为MM维持治疗的标准药物。

夏忠军 教授
中山大学附属肿瘤医院血液肿瘤科
中国医药教育学会骨髓瘤专业委员会副主任委员
中国抗癌协会姑息与康复专业委员会委员
广东省抗癌协会姑息与康复专业委员会副主任委员
广东省预防医学会肿瘤防治专业委员会副主任委员
广州市抗癌协会化疗专业委员会主任委员
参考文献:
[1]Andy C. Rawstron et al. J Clin Oncol. 2013;31:2540-2547.
[2]ASH 2021,abstract#1656.
[3]ASH 2021,abstract#2718.
[4]NCCN Clinical Practice Guidelines in Oncology (NCCN Guidelines®) Multiple Myeloma. Version 4.2021.
[5]ASH 2021,abstract#3776.
[6]ASH 2020,abstract#466.