
2022ASH|邹德慧、刘薇教授:中国原创CAR-T赫基仑赛LBCL领域新进展闪耀ASH,疗效和安全性并存,彰显中国原创实力
靶向CD19的嵌合抗原受体(CAR)T细胞疗法是治疗复发/难治性(r/r)B细胞淋巴瘤的一种有效的挽救性治疗策略。在本次ASH年会中,两项关于中国原创CD19 CAR-T赫基仑赛(CNCT19)在B细胞淋巴瘤中应用的研究数据(Poster 2009、Poster 3327)已于近日正式公布,医脉通特邀两项研究者中国医学科学院血液学研究所邹德慧教授、刘薇教授作精彩点评,以飨读者。
2009:一项赫基仑赛治疗r/r B细胞淋巴瘤前瞻性临床研究的长期随访结果
研究背景
与国外已批准上市抗CD19 CAR-T细胞产品所采用FMC63抗体序列不同,CNCT19 CAR结构中使用的单链可变区(scFv)来自于新的杂交瘤克隆HI19a(识别的CD19表位与FMC63不同),与结合结构区、4-1BB共刺激结构域以及 CD3ζ 链信号传导结构区构成其结构。该研究是一项赫基仑赛治疗r/r B细胞淋巴瘤的前瞻性研究,该研究的长期随访结果已在ASH年会上更新(NCT03029338)。
研究设计
该研究的入选标准为r/r CD19阳性B细胞淋巴瘤患者,同时排除伴中枢神经系统受累患者,最终纳入20例患者,其中14例弥漫性大B细胞淋巴瘤(DLBCL)、1例滤泡性淋巴瘤(FL)-3b、1例Richter转化、4例套细胞淋巴瘤(MCL)。入组患者按3种方案进行赫基仑赛输注:3天分次输注剂量(10%-30%-60%,P1-P10)、2天分次输注剂量(40%-60%,P11-P17)和单次输注剂量(P18-20)。

图1 研究设计
研究结果
考虑到MCL患者和LBCL患者在疗效和生存率方面的差异,在此报告16例DLBCL、FL-3b、Richter转化患者的结果。
基线特征:患者中位年龄为51岁,87.5%为III-IV期,11例(68.8%)为双表达淋巴瘤,6例患者中有5例(83.3%)检测到TP53突变和/或缺失,中位治疗线数为3(2-7),超半数(56.3%)患者为原发难治患者,且81.3%的患者对末线治疗不敏感,基线详细特征见下表。
表1患者基线特征

疗效:自输注起截至2022年7月5日,中位随访44.5个月,75%的患者在输注后获得缓解,其中完全缓解(CR)率为37.5%。3个月时ORR和CR率分别为62.5%和31.3%。2例持续部分缓解(PR)的患者后续接受了异基因造血干细胞移植,分别在输注后6个月和11个月死于疾病进展。中位无进展生存期(PFS)和总生存期(OS)分别为6.5个月和12.7个月。6例(37.5%)患者在数据截止时仍然存活。
表2 缓解和生存结果


图2 20例患者生存结果
安全性:CNCT19细胞输注的中位剂量为2.48×106/kg。11例(68.8%)患者发生细胞因子释放综合征(CRS),均为1级。仅有1例患者出现CAR-T细胞相关脑病综合征(CRES),表现为双侧上肢远端肌肉无力,经激素治疗后完全恢复。
表3 不良反应结果

研究结论
该研究显示,赫基仑赛在r/r DLBCL和FL-3b患者均显示出长期疗效和良好的安全性。同时,赫基仑赛治疗r/r LBCL和高级别B细胞淋巴瘤的II期临床试验(NCT04586478)正在进行中。
3327:前瞻性I/II期临床研究2年随访结果更新-赫基仑赛联合HDT/ASCT用于治疗难治性LBCL患者的长期疗效
研究背景
大剂量化疗/自体造血干细胞移植(HDT/ASCT)联合赫基仑赛在一线和/或后线挽救化疗难治的LBCL患者中的初步临床试验结果显示,80%(8/10)患者可达到CR,预估12个月PFS率和OS率分别为66.7%和77.1%。今年ASH年会上公布了该研究的最新入组、疗效和随访数据更新。
研究方法
患者入选标准为经含利妥昔单抗
和蒽环药物一线治疗和/或后续挽救治疗后难治的LBCL患者。2017年12月至2021年5月期间,研究最终入组21例难治性LBCL患者。移植预处理方案为GBC/M(吉西他滨
+白消安
+环磷酰胺
/美法仑
)。

图3 研究设计
研究结果
患者基线特征:18例患者接受赫基仑赛细胞输注,分别为11例(67%)DLBCL-NOS,4例(22%)HGBL伴MYC、BCL2和/或BCL6重排,2例(11%)原发性纵隔大B细胞淋巴瘤(PMBCL),1例(6%)滤泡性淋巴瘤转化(tFL)患者。患者中位年龄为44岁(23-64),既往中位治疗线数为3线(2-5),89%对一线免疫化疗难治,72%对后续含铂的挽救治疗难治,详细基线特征见下表。
表4 患者的基线特征

*64%患者(7/11)检测到TP53缺失和/或突变;一线免疫化疗包括:R-CHOP(利妥昔单抗、环磷酰胺、多柔比星
、长春新碱
、泼尼松
)或R-DA-EPOCH(利妥昔单抗、依托泊苷
、泼尼松、长春新碱、环磷酰胺和多柔比星)
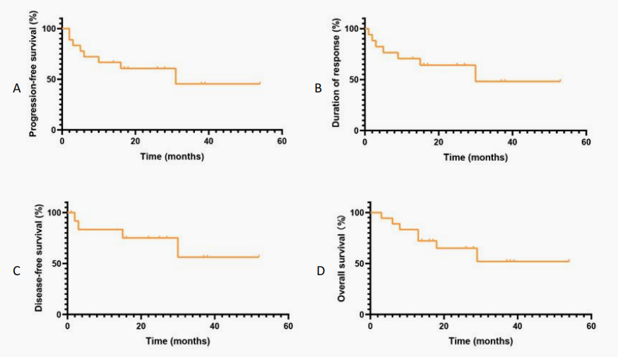
疗效:自输注日起截至2022年7月26日,中位随访28.2个月,最佳ORR为94.4%,最佳CR率为72.2%。中位PFS、缓解持续时间(DOR)、无病生存期(DFS)和OS均未达到,2年的PFS率、DOR率、DFS率和OS率分别为59.3%(95% CI,32.5%-78.4%)、63.5%(95% CI,35.9%-81.8%)、74.1%(95% CI,39.1%-90.9%)和64.2%(95% CI,36.2%-82.4%),见图4。在赫基仑赛输注后3个月或6个月时持续缓解的患者中,分别有66.7%和83.3%仍处于持续缓解中。

图4 在疗效可评价集中,按最佳总体缓解列出PFS(A)、DOR(B)和DFS(C)、OS(D)的Kaplan-Meier分析
安全性:89%患者(16/18)发生低级别CRS,2例患者分别在赫基仑赛输注后第5、6天发生CAR-T细胞相关脑病综合征(CRES),经糖皮质激素
治疗后完全缓解。治疗期间无任何非预期的毒性或治疗相关死亡。中性粒细胞和血小板的中位恢复时间分别为干细胞回输后10天(8-30天)和16.5天(8-265天)。
表5 患者的安全性事件

研究结论
赫基仑赛可在HDT/ASCT后安全地用于r/r LBCL患者。与单独CAR-T细胞治疗相比,可进一步提高缓解率并延长患者生存期。
大咖点评
邹德慧教授
在过去几十年中,LBCL患者的整体总生存情况有所改善,但r/r LBCL患者的预后仍然较差,治愈性手段有限少,尤其是难治性患者。一项国际大样本回顾性研究SCHOLAR-1结果显示,接受常规挽救性化疗的难治性LBCL患者的临床结局和生存期较差,平均生存期仅约6个月。在今年ASH上公布的前瞻性研究(Poster 2009)中,虽然基线患者较差,68.8%为双表达淋巴瘤,超半数(56.3%)为原发难治,81.3%患者为末线难治患者,但通过赫基仑赛治疗后有高达75%的患者可获得客观缓解,与其他CD19 CAR-T细胞治疗50%~80%的ORR结果相当,且耐受性良好,显示出第二代CD19 CAR-T赫基仑赛在r/r LBCL领域中极具应用潜力,期待II期临床研究结果的公布,能惠及更多中国LBCL患者。
刘薇教授
CAR-T疗法对于r/r LBCL患者来说是一项里程碑式的治疗改革,CAR-T联合HDT/ASCT的治疗策略为LBCL的治疗开启了一扇新大门。在今年ASH年会上公布的I/II期前瞻性临床研究(Poster 3327)的长期随访结果提示,经过移植预处理后,患者体内的肿瘤负荷明显降低,再输注赫基仑赛,89%患者仅发生低级别CRS,2例患者输注后发生CRES,经糖皮质激素治疗后完全缓解,显示不良反应的发生率低且整体安全可控。在疗效上,HDT/ASCT联合赫基仑赛治疗难治性LBCL患者最佳ORR为94.4%,最佳CR率为72.2%,且缓解持续。该研究结果增强了临床医生对于CAR-T创新方案的信心,期待未来延长随访后能观察到生存方面的获益。

邹德慧 教授
中国医学科学院血液学研究所
主任医师、硕士、硕士研究生导师
淋巴瘤诊疗中心主任助理
中国抗癌协会淋巴瘤专业委员会常委
天津市抗癌协会淋巴瘤专业委员会主任委员
CSCO自体造血干细胞移植工作组副组长
中国抗癌协会血液肿瘤专业委员会淋巴瘤学组副组长
中国老年医学会血液学分会常委
《中华血液学杂志》通讯编委
研究方向:淋巴系统肿瘤(包括淋巴瘤、多发性骨髓瘤
、急/慢性淋巴细胞白血病等)的临床和转化研究、造血干细胞移植、CAR-T细胞治疗血液系统恶性疾病

刘薇 教授
中国医学科学院血液学研究所淋巴瘤诊疗中心副主任医师
中国抗癌协会血液肿瘤专业委员会造血干细胞和细胞治疗学组委员
中国EBV相关疾病工作组副组长
CSCO抗白血病/抗淋巴瘤联盟第一届青年委员会委员
天津市抗癌协会淋巴瘤专业委员会委员秘书
天津市抗癌协会淋巴瘤专业委员会第一届青年委员会副主任委员
天津市血液病医疗质控中心淋巴瘤专业组组长
执笔撰写《靶向B细胞和浆细胞
的CAR-T细胞治疗中防治乙型肝炎病毒
再激活的中国专家共识(2021年版)》,擅长淋巴瘤的精准诊断及治疗,淋巴瘤的造血干细胞移植,淋巴瘤的CAR T细胞治疗
参考文献:
1.Wei Liu, Dehui Zou, et al. Poster on ASH 2022. Abstract 2009.
2.Wei Liu, Dehui Zou, et al. Poster on ASH 2022. Abstract 3327.