
2022 ASH|杨仁池教授:TPO-RA类药物转换用药结果重磅公布,中国经验引领ITP治疗发展
原发免疫性血小板减少症
(ITP)是一种由自身免疫功能异常引起的血小板数量减少的出血性疾病
,促血小板生成素受体激动剂(TPO-RA)类药物是国内外指南推荐的ITP二线治疗优选方案,但有关不同种类药物间转换使用的研究报道较少。
聚焦临床疑点,引领前沿发展,2022年ASH年会上公布了题为“Switching from Eltrombopag to Hetrombopag in Patients with Primary Immune Thrombocytopenia (ITP): Post-Hoc Analysis of a Multicenter, Randomized Phase III Trial”的研究1结果,使ITP转换用药领域取得了突破性进展。医脉通特别邀请中国医学科学院血液病医院杨仁池教授详细解读研究内容及意义,并分享对ITP治疗的新思考。
医脉通:今年ASH上发表了有关TPO-RA类药物转换使用的事后分析结果,能否请您简要介绍一下该研究的背景以及中国血液人在背后做出的努力?
杨仁池教授:该研究虽然是事后分析,整体试验却是事先经过精心设计的。当时国产原研药海曲泊帕
正在进行III期临床试验,进口TPO-RA药物艾曲泊帕
已被批准上市,根据国家药品监督管理局药品审评中心(CDE)的相关规定,若试验存在阳性药物对照,需考虑对比试验药物与阳性药物之间有效性及安全性的区别。在此背景下,我国多家临床中心参与并推动了该研究的开展。目前国际上尚无类似研究设计,该研究能够顺利开展并且成果被今年ASH接收发表,背后离不开相关研究者、企业等的共同努力。
医脉通:能否请您简要介绍一下这项III期临床试验事后分析的主要内容和结果?
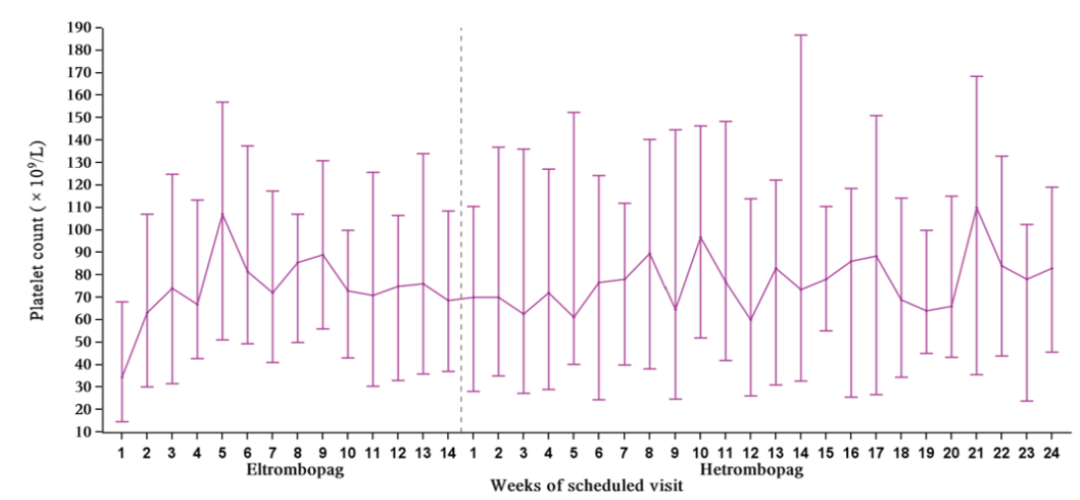
杨仁池教授:这是一项随机、双盲、安慰剂对照、多中心临床研究的事后分析,入组ITP患者经过10周的双盲期治疗(海曲泊帕或安慰剂)后,其中的安慰剂组患者接受14周的艾曲泊帕治疗,完成治疗的患者可以继续接受额外的24周海曲泊帕治疗。研究主要评估了ITP患者从艾曲泊帕转换为海曲泊帕的应答情况。结果显示,所有63例完成初始24周(10周安慰剂和14周艾曲泊帕)治疗的ITP患者均进入了下一阶段的海曲泊帕治疗期。在换用海曲泊帕之前,患者基线血小板计数为69.0×109/L,有约三分之一的患者没有获得持续缓解。截止2020年11月19日,58例(92%)患者完成了海曲泊帕治疗,海曲泊帕中位暴露时间为169天(范围53-176)。血小板应答及缓解情况如下:
➤56/63例(88.9%)患者在换用海曲泊帕后达到血小板应答;既往血小板计数低于30×109/L的12例患者中,有8例(66.7%)获得缓解;既往血小板计数在30-50×109/L的9例患者中,有8例(88.9%)获得缓解。
➤换用海曲泊帕2周后,患者中位血小板计数为70×109/L。另外在换用海曲泊帕后,中位最大持续缓解持续时间为78天(范围8-165),中位总缓解持续时间为104天(范围8-165)。
表1 转换药物前后血小板计数


图1 使用不同药物期间患者血小板变化情况
医脉通:解答疾病领域的难题往往能够对疾病治疗产生深远的影响,在您看来,这项研究能够给我国ITP治疗带来怎样的启示?
杨仁池教授:由于本研究是事先设计好的临床试验,相较于真实世界研究,其价值更高,证据等级更强。这是首次在我国开展的不同口服小分子TPO-RA类药物之间转换用药的临床研究,证明了对于艾曲泊帕无效的患者换成海曲泊帕之后仍然可能有效,二者之间不会产生交叉耐药。本研究也再次验证了国产原研药海曲泊帕的良好疗效,对ITP临床而言增加了新的治疗选择。
医脉通:ITP治疗领域发展迅速,您觉得未来我国血液领域工作者在完善ITP治疗体系方面应采取哪些行动?
杨仁池教授:首先应避免过度治疗。随着国家整体经济状况的改善和新型治疗手段的增加,可以理解人民群众对健康美好生活的向往的诉求,但在临床上确实存在过度治疗的现象。部分患者血小板计数不太低,患者或家属可能仍会感觉紧张;也不排除有些医生对疾病认识不足,治疗时也会紧张,最终出现过度治疗的现象。另外,医保问题仍是ITP治疗的“瓶颈”,虽然目前海曲泊帕等药物已被国家医保政策覆盖,但在地方落实医保政策时仍存在一些问题。作为血液工作者,虽然无法改变医保政策,但我们可以为患者提供安全、有效、及时、合理地治疗,同时尽量避免过度治疗,减少治疗相关的不良反应。
小结
作为新一代中国自主研发的TPO-RA药物,海曲泊帕正以其良好的疗效和安全性逐渐受到临床认可。转换用药结果的公布在进一步证实海曲泊帕有效性的同时,也有望打破部分患者换药疑虑,提升临床用药信心。未来应继续探索海曲泊帕临床应用,积累临床用药经验,为更多类型患者造福。

杨仁池 教授
中国医学科学院血液病医院(血液学研究所)血栓与止血诊疗中心主任、主任医师 、博士生导师
亚太血友病
协会指导委员会成员
中国医药教育协会止血与血栓分会副主任委员
中国研究型医院学会血栓与止血专业委员会常委
中国医院协会罕见病专业委员会常委
中国研究型医院学会罕见病分会常务理事
中华医学会血液学分会委员
国家血友病病例信息管理中心负责人
中国罕见病联盟血友病学组主任委员
中国罕见血液病工作组组长、中国血友病协作组组长
Haemophilia中文版主编
《血栓与止血学》杂志主编
参考文献:
1.Hu Yu, et al,. 2022 ASH abstract 2443.