
大咖专访|石远凯教授团队携瑞齐替尼脑转移疗效数据,荣登国际权威杂志Lung Cancer
脑转移(包括脑实质转移和/或脑膜转移)是肺癌常见的转移部位之一,且预后差,大约10%的非小细胞肺癌(NSCLC)患者在确诊时即已经存在脑转移,40~50%的NSCLC患者在治疗过程中会发生脑转移,多年来肺癌靶向药对NSCLC患者的脑转移疗效探索从未停止。近日,一项关于瑞齐替尼(BPI-7711)针对二线靶向治疗携带EGFR T790M突变的晚期NSCLC且中枢神经系统(CNS)转移的患者疗效汇总分析结果在国际肺癌领域知名学术期刊Lung cancer1上发表。该汇总分析研究纳入瑞齐替尼I期和IIb期临床研究(NCT03386955;NCT03812809)的相关数据,进行了多维度的CNS转移疗效分析和数据呈现。

研究结果显示:瑞齐替尼能为EGFR T790M突变NSCLC且CNS转移患者带来显著的临床获益,且安全性可控。医脉通有幸采访瑞齐替尼I期和IIb期临床试验主要研究者石远凯教授,就瑞齐替尼二线治疗CNS转移患者的疗效汇总分析进行深度解读。

医脉通:您作为多个国产三代EGFR-TKI的主要研究者(leading Pl),能否先介绍一下目前国内上市三代药的脑转移治疗现状,再谈谈您近期在Lung Cancer发表的瑞齐替尼二线治疗NSCLC患者的关键CNS疗效数据?
石远凯教授:
脑转移是肺癌常见的转移部位之一,且预后差。相比一代和二代EGFR TKI,三代EGFR TKI在晚期NSCLC患者治疗中展现出了优秀的脑转移治疗效果。例如我们可以看到国内已上市的三代EGFR TKI在二线治疗脑转移患者的数据:首个上市的三代EGFR-TKI奥希替尼
的AURA剂量拓展和AURA2试验的汇总分析结果2显示:针对至少有一个可测量的CNS病变的晚期NSCLC伴有T790M突变的患者,CNS客观缓解率(CNS-ORR)和CNS疾病控制率(CNS-DCR)分别为54%和92%;首个国产三代药阿美替尼
的II期APOLLO研究数据3显示:其CNS-ORR和CNS-DCR分别为60.9%和91.3%,中位CNS无进展生存期(中位CNS-PFS)达到11.8个月;第二款国产三代药——伏美替尼
的IIb期临床试验结果4显示:CNS-ORR和CNS-DCR分别为66%和100%,中位CNS-PFS达到11.6个月。
此次在Lung Cancer发表的这篇文章是我们对新的国产三代EGFR-TKI瑞齐替尼I期和IIb期临床试验数据进行的多维度汇总分析后的脑转移疗效数据呈现。
在基线时具有可测量的CNS病变的患者人群中,经独立评审委员会(BICR)评估的CNS-ORR和CNS-DCR分别为68.9%和100.0%,在所有基线时具有可测量和不可测量CNS病变的患者人群的中位CNS缓解持续时间(中位CNS-DoR)为13.8个月,中位CNS-PFS为16.5个月。瑞齐替尼有良好的透过血脑屏障的能力,脑转移的EGFR突变的患者在瑞齐替尼的治疗中能得到较长时间的临床获益。
在中枢神经全分析集(cFAS)人群中,有17.3%的患者存在既往脑放疗史,既往接受过脑部放疗的26例患者的中位CNS-PFS为NC(无法计算),124例既往未接受脑部放疗的患者的中位CNS-PFS为15.1个月。无论是否接受过脑放疗的患者,都能从瑞齐替尼的治疗中获益。
表1. 瑞齐替尼治疗晚期NSCLC的CNS疗效

【注】a 该指标统计学计算基于cEFR人群。b 该指标统计学计算基于cFAS人群。

图1.经BICR评估的肿瘤负荷随时间的改变(cEFR人群)

图2.经BICR评估的靶病灶大小的最佳百分比变化(cEFR人群)

图3. 经BICR评估的CNS-PFS(Kaplan-Meier法)(cFAS人群)
医脉通:瑞齐替尼对治疗NSCLC脑转移患者有什么亮点?
石远凯教授:
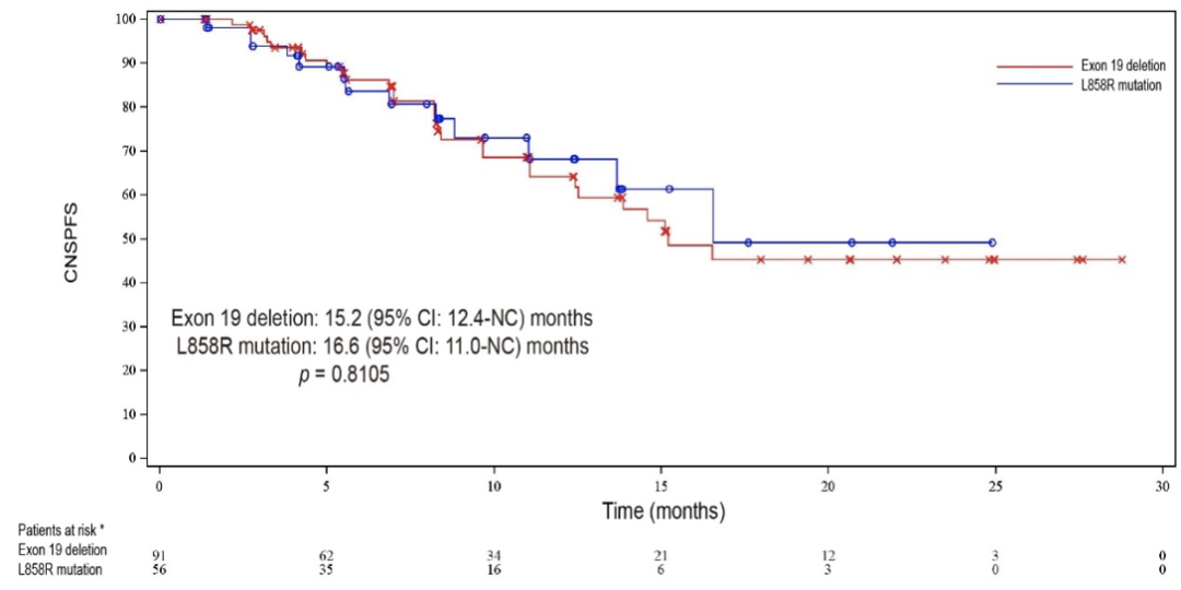
据多个文献报道,部分第三代EGFR TKI对EGFR外显子19缺失突变的晚期NSCLC患者的系统疗效或预后优于EGFR L858R突变患者。而此次脑转移汇总分析中,瑞齐替尼针对这突变两个亚组的脑转移疗效令人惊喜:在cFAS人群中,EGFR外显子19缺失突变患者的中位CNS-PFS为15.2个月,而EGFR L858R突变患者则长达16.6个月。瑞齐替尼对EGFR外显子19缺失和EGFR L858R突变这两个亚组的脑转移患者皆有优异的疗效,这是瑞齐替尼的一个亮点。

图4. 经BICR评估的基因类型亚组CNS-PFS(Kaplan-Meier法)(cFAS人群)
医脉通:瑞齐替尼作为目前唯一接受血浆阳性患者入组二线靶向治疗研究的三代EGFR-TKI,对NSCLC患者的临床实践会带来怎样的启迪?
石远凯教授:
对不同EGFR T790M检测样本类型的亚组数据表明,组织样本患者的中位CNS-PFS为NC(无法计算),而血浆样本患者的中位CNS-PFS为13.9个月。由此可见,瑞齐替尼对基线血浆阳性患者具有同样可观的疗效。而在我们实际临床医疗实践中,一部分二线患者不具备组织样本采集的条件,通过血浆检测则可以大大提高患者检测的可行性。

图5. 经BICR评估的EGFR T790M突变样本来源亚组CNS-PFS(Kaplan-Meier法)(cFAS人群)
医脉通:瑞齐替尼在二线治疗晚期NSCLC且CNS转移患者中的安全性表现如何?
石远凯教授:
瑞齐替尼二线治疗晚期NSCLC且CNS转移的安全性耐受良好,cFAS人群中的安全性特征与FAS人群一致。从研究结果看到,治疗相关严重不良事件(Treatment-related SAE)无论是在FAS人群还是cFAS人群中的发生率都低,分别为3.1%(11/355)和1.3%(2/150);另外因治疗相关不良事件(TRAE)永久停药的在FAS和cFAS人群中的发生率均不超过4.0%。
cFAS人群的安全性数据表明,瑞齐替尼对消化系统的安全性表现较好:其中发生≥3级的腹泻
和恶心的比例均为0,发生≥3级的呕吐的比例为0.7%(1/150)。另外,在瑞齐替尼I、IIb、IIa期临床试验中均未观察到间质性肺炎的发生。总体来说,瑞齐替尼二线治疗晚期NSCLC患者的安全性表现是良好可控的。
表2. 瑞齐替尼安全性数据汇总(FAS vs. cFAS)

瑞齐替尼(BPI-7711)脑转移患者研究详情
研究背景
瑞齐替尼I期和IIb期临床试验二线治疗EGFR T790M突变的晚期NSCLC研究的整体疗效结果均已经发表于国际权威期刊Journal of Thoracic Oncology(胸部肿瘤学杂志)5-6,瑞齐替尼的CNS疗效在该两项研究中得到初步验证。不仅如此,已发表于BMC Medicine7的瑞齐替尼IIa期一线治疗局部进展或复发转移的晚期EGFR突变NSCLC研究结果同样报道了可喜的CNS疗效,目前,基于IIa期临床研究结果,瑞齐替尼对照吉非替尼
一线治疗EGFR基因敏感突变晚期NSCLC的III期确证性临床试验REZOR(CTR20190442;NCT03866499)及相关联合治疗研究正在有序开展中。
基于瑞齐替尼I期和IIb期优异的CNS疗效数据,我们设计了该项关于瑞齐替尼二线治疗EGFRT790M突变NSCLC脑转移患者的汇总分析研究。
研究简介
这项回顾性汇总分析研究将这两项研究中每日一次口服瑞齐替尼剂量≥180mg的患者纳入全分析集(FAS),基线时具有可测量和不可测量CNS病变的患者定义为CNS全分析集(cFAS),在基线时具有可测量的CNS病变的患者被定义为CNS可评价的反应集(cEFR)。此汇总分析的评估终点是BICR评价的CNS客观缓解率(CNS-ORR)、CNS疾病控制率(CNS-DCR)、CNS缓解持续时间(CNS-DoR)、CNS无进展生存期(CNS-PFS)、CNS靶病灶与基线的最佳百分比变化(CNS-DepOR)。本研究汇总了研究者根据CTCAE 4.03版评价治疗中出现的不良事件(TEAE),并在FAS和cFAS人群中进行了安全性分析。
共有355例患者被纳入汇总分析的FAS人群,其中129例(36.3%)患者自I期研究,226例(63.7%)来自IIb期研究;共150例(42.3%)患者被纳入cFAS人群,其中45例(30%)患者被纳入cEFR。cFAS人群的基线特征与FAS人群的基本相似(表3)。在FAS中,26例患者的基线组织和血浆样本均被确认为EGFR T790M阳性,154例患者仅被确认为组织EGFRT790M阳性,175例患者仅被确认为血浆EGFR T790M阳性;在cFAS中,13例患者的基线组织和血浆样本均被确认为EGFR T790M阳性,47例患者仅被确认为组织EGFR T790M阳性,90例患者仅被确认为血浆EGFR T790M阳性。同时,在cFAS中,共有44例组织EGFRT790M阳性患者提供了基线时的血浆EGFR T790M突变结果,其中31例血浆EGFR T790M突变阴性,13例为血浆EGFR T790M突变阳性。cFAS中共有26例(17.3%)患者在入组前接受了CNS放疗。
表3. 基线特征

【注】 a 其它指在FAS人群中既没有EGFR外显子19缺失也没有L858R突变的患者,其中有3例患者只有EGFRT790M突变;一例具有G719X,L861Q和T790M突变;一例具有G719X,S768I和T790M突变。这5例患者中有3例被纳入cFAS人群;b 在FAS中,26例患者被确认为EGFR T790M阳性,基线时组织和血浆均呈阳性(14例来自I期研究,12例来自IIb期研究);在cFAS中,13例患者确诊EGFR T790M阳性,基线时组织和血浆均呈阳性(9例来自I期研究,4例来自IIb期研究)。
研究结论
在本次I期和IIb期的汇总分析中,瑞齐替尼二线治疗晚期NSCLC携带EGFR T790M突变和脑转移的患者具有很好的疗效,呈现了优秀的CNS-ORR,CNS-DepOR,CNS-DoR,CNS-PFS和可控的安全性。瑞齐替尼的一线脑转移疗效将在III期随机对照研究中进一步被评价。
研发背景
倍而达药业创始人张晓东博士毕业于中国兰州大学和美国马里兰州立大学,获化学制药博士学位。作为中国创新药的早期开拓者之一,多年深耕于抗肿瘤创新药研发领域。张晓东博士及其研发团队在2002年发明了一代EGFR-TKI盐酸埃克替尼
原始分子BPI-2009H,并参与了该药在中国的研发和成功上市。目前,三代EGFR-TKI已经成为EGFR突变晚期NSCLC的标准一线治疗药物,瑞齐替尼(BPI-7711)作为倍而达药业自主研发的三代EGFR-TKI,有望在近期通过CDE审评,在中国大陆上市,造福广大的肺癌患者。