
因应老龄化趋势:关注老年类风湿关节炎与风湿性多肌痛的诊断与治疗
随着人口老龄化趋势的加快,老年慢性疾病日益引起社会和医学界的关注。特别是老年起病类风湿关节炎(EORA)和风湿性多肌痛
(PMR)这两种在临床表现上具有相似特征的疾病,给临床诊断带来了很大的挑战。
本次推送将介绍两篇关于EORA和PMR的研究进展,第一篇通过血清代谢物检测技术探索潜在的生物标志物以解释和区分PMR和EORAneg。第二篇文章通过研究PMR和具有PMR样起病表现的EORA的关系,探索是否能找到一种预测因子以便提高老年类风湿关节炎的诊断率。
在实现精确诊断的同时,老年患者的治疗安全性和有效性也不容忽视。老年患者往往伴有多种年龄相关的共病症,如抑郁症、哮喘、心血管事件和恶性肿瘤等,因而治疗策略的选择对其重要性也日益凸显。在此背景下,本次推送还将分享一篇关于托珠单抗
在老年RA患者及年龄相关共病症患者治疗上的安全性和有效性的研究。希望这些研究能为老年关节炎患者的诊断和治疗提供新的视角和思路,促进患者的康复和生活质量的提高。
01
Serum metabolomic profiling identifies potential biomarkers in arthritis in older adults: an exploratory study
血清代谢组学分析鉴定老年人关节炎潜在生物标志物的探索性研究
➤研究背景
血清反应阴性的老年起病类风湿关节炎(EORAneg)和风湿性多肌痛(PMR)具有相似的临床表现,仅凭临床特征很难将它们区分开来,研究人员通过分析血清代谢物的差异来识别可能的生物标志物,以帮助更好地理解和分类老年人关节炎的不同类型,特别是PMR和EORAneg。文献中介绍了研究所使用的技术和方法,包括使用NMR技术进行代谢物检测和定量,使用Mahalanobis距离测试和ROC分析等方法来评估数据,并使用SPSS软件进行统计分析。研究结果表明,PMR和EORAneg之间存在不同的代谢组学特征,可能有助于更好地理解这些疾病的病理生理学,并有助于生物标志物的鉴定。
➤研究设计
ARTIEL(老年关节炎)研究是一项关于老年人关节炎代谢组学的探索性研究,采用了观察性纵向前瞻性研究设计, 研究对象为60岁以上的老年人,包括新发关节炎的患者和无风湿性疾病的对照组。研究排除了有感染、肿瘤、免疫缺陷、痴呆症、使用糖皮质激素
或疾病修饰抗风湿药物(DMARDs)的患者。研究采用了NMR技术进行代谢物检测和定量,使用Mahalanobis距离测试和ROC分析等方法来评估数据,并使用SPSS软件进行统计分析。研究结果表明,PMR和EORAneg之间存在不同的代谢组学特征,可能有助于更好地理解这些疾病的病理生理学,并有助于生物标志物的鉴定。
➤研究结果
临床特征比较
有28名患者被诊断为EORAneg,20名患者被诊断为PMR。 EORAneg患者的平均疾病活动评分(DAS)-红细胞沉降率(ESR)为6.21±1.00。所有PMR患者报告肩部疼痛,90%报告骨盆疼痛;EORAneg患者的关节疼痛和肿胀程度明显高于PMR患者,但在其他临床特征方面,两组患者没有明显差异。

备注:表格为部分结果
代谢组学分析揭示疾病差异
鉴定了 58 种极性代谢物,其中,3-羟基丁酸盐、乙酸盐、葡萄糖
、甘氨酸
、乳酸盐和邻乙酰胆碱 (o-ACh) 在各组之间存在显着差异。这些结果表明,代谢组学分析能够体现不同疾病之间的代谢差异,有助于了解疾病发生发展的生物化学过程。

备注:表格为部分结果
不同疾病的代谢途径存在差异
IL-6与PMR和EORAneg中的不同代谢物相关,表明存在不同的炎症活化途径。在PMR患者中,IL-6与TMAO、泛酸、O-磷酸
胆碱、甘酸、葡萄糖、肌酸磷酸和醋酸呈正相关;而在EORAneg中,IL-6仅与色氨酸
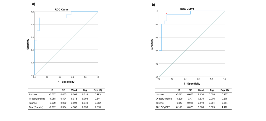
呈正相关,与缬氨酸、异戊酸和异亮酸呈负相关。此外,在两种疾病中不同的代谢物也与CRP和ESR相关,表明这些疾病中存在不同的代谢途径与炎症相关。最后,乳酸、o-ACh、牛磺酸
和性别(女性)被鉴定为PMR与EORAneg可区分的因素,其敏感性为90%,特异性为92.3%,AUC为0.925(p<0.001)。

➤优势与局限性
研究采用代谢组学技术探索EORAneg和PMR之间的代谢差异,并使用1D 1H-NMR技术进行分析。结果表明,血清中的代谢物可以区分EORA和PMR,为这两种疾病的病理生物学提供了新见解和未来开发新生物标志物的线索。然而,该研究样本量较小、缺乏验证队列,且只涉及EORA和PMR,今后需要进一步探索。
02
Usefulness of ultrasound as a predictor of elderly-onset rheumatoid arthritis with polymyalgia rheumatica-like onset
超声在预测具有风湿性多肌痛样起病表现的老年起病类风湿关节炎中的作用
➤研究背景
在临床实践中,由于症状和血清学动力学的存在相似性,鉴别风湿性多肌痛 (PMR) 和老年起病类风湿关节炎(EORA),尤其是在老年患者中存在困难,作者试图探究PMR 样发作的 EORA 的预测因子,旨在提高老年RA患者的早期诊断率,以避免关节破坏和虚弱的早期进展。
➤研究设计
本回顾性观察研究共纳入72名接受常规治疗的PMR患者,所有患者在诊断时均已接受超声检查。研究将患者分为两组:PMR组和PMR/EORA组,PMR/EORA组为在PMR诊断后1年内被诊断为EORA的患者。
研究过程中,根据EULAR指南的标准化方法,研究者对22个手部关节和肩部关节进行了多平面灰度(GS)和动力多普勒超声检查(PS),并使用半定量评估对关节进行评分。同时,收集了参与者的人口学和临床特征数据,如年龄、性别、疾病持续时间、口服皮质类固醇使用、关节疼痛计数(TJC)、关节肿胀计数(SJC)、红细胞沉降率、C-反应蛋白
水平、基质金属蛋白酶-3水平、类风湿因子
水平和阳性率、抗环状肽抗体水平和抗核抗体滴度等。最后,利用Wilcoxon符号秩和Pearson检验进行单变量分析,采用逐步多元逻辑回归分析来确定独立变量,旨在探讨影响EORA诊断的因素。
➤研究结论
超声波检查手部关节可作为预测老年发病的类风湿关节炎的有用工具(敏感性61.1%,特异性98.1%,准确性88.9%),以便早期诊断和治疗,从而避免关节破坏和虚弱的早期进展。
PMR 诊断后 1 年内 RA 诊断的多变量逻辑分析获得的每个因素的资格。

PPV,阳性预测值;NPV,阴性预测值。
此外,类风湿因子阳性、GS评分≥2和PD评分≥1是EORA诊断的独立预测因子,这些因子可以帮助医生更准确地预测老年发病的类风湿关节炎的发展。
➤优势与局限性
本研究的优势在于采用了一种标准化的方法,对手部关节进行了多平面灰度和动力多普勒超声检查,并对关节进行了半定量评分。同时,研究还收集了丰富的参与者人口学和临床特征数据,例如年龄、性别、疾病历程、口服皮质类固醇使用情况、关节疼痛计数、关节肿胀计数、红细胞沉降率、C-反应蛋白水平以及各种免疫学指标等。这些数据有助于研究人员更准确地预测老年发病的类风湿关节炎的演变。然而,该研究也存在一些局限性,如首先,这是一项单中心、横断面研究,存在选择性偏倚的风险。其次,我们只使用MSUS评估了手和肩关节;然而,手关节是RA中最常见受影响的部位。第三,MSUS上肩部病变的阳性率较低。在临床实践中,涉及多种因素,如发病时间、非甾体抗炎药(NSAIDs)和MSUS的时间。此外,PMR疾病的异质性以及概念的不确定性可能对数据产生影响。第四,应该在60岁或以上的患者中检查PMR;然而,由于在研究期内未能收集足够的患者,病例包括60岁以下的患者(n = 8)。第五,检查医生没有对超声结果进行盲评价。这些结果被用于首次访问时的临床诊断。
03
The safety and effectiveness of tocilizumab in elderly patients with rheumatoid arthritis and in patients with comorbidities associated with age
对于年龄较大的合并症患者,托珠单抗在类风湿关节炎治疗中的安全性和有效性研究
➤研究背景
相比于一般人群,RA患者更容易患有多种共病症,包括抑郁症、哮喘、心血管事件和恶性肿瘤等。随着欧洲人口中老年人比例的增加和患有风湿性疾病的患者接近正常的生存率,老年RA患者的治疗问题变得不可避免。因此,需要对老年RA患者的治疗进行深入研究,研究通过对德国255个风湿病诊所中使用托珠单抗治疗的RA患者进行了为期2年的大型前瞻性非干预性研究,考察了托珠单抗在老年患者和具有与年龄相关的共病症的患者中的安全性和有效性。
➤研究设计
ICHIBAN (NCT01194401) 是一项前瞻性、非干预性研究,招募德国的中度至重度活动性RA成年患者,研究期为104周,共有3164名患者参与。所有患者均接受托珠单抗治疗。治疗期间,医生们根据患者的具体情况进行医疗决策,不进行任何干预性治疗。数据收集通过电子病例报告表在基线(第0周)和第4、12、24、36、52、64、76、88和104周进行。研究的主要终点是在观察期内至少一次达到疾病活动评分(DAS28-ESR)<2.6的患者比例。次要终点包括DAS28-ESR缓解时间、临床疾病活动指数(CDAI)评分、健康评估问卷残疾指数(HAQ-DI)和患者报告的结果(PROs)。安全结果包括不良事件(AE)和严重不良事件(SAE)的数量和类型。
➤研究结论
主要终点:DAS28-ESR<2.6的患者比例
研究结果显示,在有效性分析集(EFF-NPT)中,托珠单抗治疗类风湿关节炎的有效性结果良好,< 50 岁的患者中有 65.4%(95% CI:61.9-68.7%),50-65 岁的患者中有 59.8%(95% CI:57.0-62.6%),> 65 岁的患者中有 59.5%(95% CI:55.5-63.4%)均达到了主要终点。

次要终点:DAS28-ESR缓解时间
年龄<50岁的患者达到主要终点的时间中位时间较短(85.5天),50-65岁患者为90.0天,>65岁患者为91.0天。

次要终点:临床疾病活动指数(CDAI)评分
托珠单抗治疗期间,患者的CDAI得分有所改善。并且患者年龄越大,其CDAI得分的改善越大。>65岁年龄组(LV=14.28,95% CI 13.17–15.40),其次是50-65岁年龄组(LV=13.77,95% CI 12.99–14.56), <50岁年龄组(LV=12.45,95% CI 11.49–13.41)(p=0.03),因此,托珠单抗治疗可以显著改善老年类风湿关节炎患者的疾病活动水平,包括CDAI得分的改善。


其他次要终点:HAQ-DI及PROs
健康评估问卷残疾指数(HAQ-DI):年龄<50岁的患者在HAQ-DI评分方面具有最好的身体功能(LV=0.27,95%CI 0.22-0.31),50-65岁的患者(LV=0.20,95%CI 0.17-0.23)和>65岁的患者(LV=0.19,95%CI 0.14-0.24)的降低量较小(p = 0.01);并且这些患者在研究期间也显示出最大的HAQ-DI评分改善,与50-65岁的患者(周LV=32.8%,95%CI 30.1-35.6)或>65岁的患者(LV=32.9%,95%CI 29.0-37.0)相比,年龄<50岁的患者中有更高比例的患者实现了临床相关的HAQ-DI改善(≥0.3降低)(LV=37.1%,95%CI 33.5-40.7)。
患者报告的结果(PROs):评价内容包括疾病活动、健康状况、疲劳、疼痛强度和睡眠障碍
等方面。研究发现,所有年龄组的患者在疲劳、疼痛强度和睡眠障碍等PROs的严重程度方面都有类似的改善。

减少GC的使用量及共病患者治疗有效性分析
糖皮质激素可缓解疼痛和炎症,但长期、大剂量使用与骨质疏松、心血管风险增加密切相关。因此,减少糖皮质激素的使用可以降低患者的副作用风险,提高生活质量。在研究结束时,所有年龄组的患者使用糖皮质激素的比例变化相似。年龄>65岁的患者在使用托珠单抗治疗后,糖皮质激素的平均剂量减少的程度与其他年龄组相似。
Table II显示了不同基线共病症的患者在DAS28-ESR评分方面的平均基线值。这些共病症包括糖尿病、冠心病、贫血
和肾功能不全等。研究发现,患有这些共病症的患者在DAS28-ESR评分方面具有更高的平均基线值,这表明这些患者在研究开始时疾病活动更为严重。然而,在托珠单抗治疗期间,共病患者也能够获得与其他患者相似的DAS28-ESR改善。

➤安全结果
研究发现,所有年龄组的患者在治疗期间发生的AEs的比例和发生率相似。然而,>65岁的患者中,发生被认为与治疗相关的SAEs和死亡的比例略高于其他年龄组的患者。此外,发生感染、胃肠穿孔、肝功能异常等不良事件的比例略高于其他年龄组的患者。因此,在使用托珠单抗治疗时,需要更加谨慎地监测>65岁的患者的不良事件。总体而言,托珠单抗治疗在所有年龄组的患者中都是相对安全的,具有良好的安全性和疗效性。
➤优势与局限性
这项研究优势在于它是一项大规模、多中心、随机、双盲、安慰剂对照的临床试验,对不同年龄组的患者进行了分析,包括<50岁、50-65岁和>65岁的患者,可以更全面地了解托珠单抗治疗在不同年龄组的患者中的疗效和安全性。此外,该研究对患者的病情、健康状况、疲劳、疼痛和睡眠障碍等方面进行了评估,可以更全面地了解托珠单抗治疗对患者的影响。与此同时,由于研究的样本来自欧洲地区,因此可能存在地域差异,此外,该研究是一项非干预性的实际世界研究,存在一些固有的局限性,如缺乏对照组或患者随机分组,研究人员和患者都没有使用盲法,可能存在安全数据的低报告风险等,需要注意的是,这些局限性并不影响该研究的重要性和价值,但需要在解释和应用研究结果时加以考虑。
参考文献
1.Cedeno M, Murillo-Saich J, Coras R, Cedola F, Brandy A, Prior A, Pedersen A, Mateo L, Martinez-Morillo M, Guma M. Serum metabolomic profiling identifies potential biomarkers in arthritis in older adults: an exploratory study. Metabolomics. 2023 Apr 6;19(4):37. doi: 10.1007/s11306-023-02004-y. PMID: 37022535.
2.Nawata M, Someya K, Kosaka S, Aritomi T, Funada M, Fujita Y, Nagayasu A, Fujino Y, Saito K, Tanaka Y. Usefulness of ultrasound as a predictor of elderly-onset rheumatoid arthritis with polymyalgia rheumatica-like onset. Mod Rheumatol. 2023 Mar 2;33(2):318-322. doi: 10.1093/mr/roac024. PMID: 35286376.
3.Specker C, Aringer M, Burmester GR, Killy B, Hofmann MW, Kellner H, Moosig F, Tony HP, Fliedner G. The safety and effectiveness of tocilizumab in elderly patients with rheumatoid arthritis and in patients with comorbidities associated with age. Clin Exp Rheumatol. 2022 Sep;40(9):1657-1665. doi: 10.55563/clinexprheumatol/f7ff6q. Epub 2021 Nov 22. PMID: 34874836.
本网站所呈现的资料为专业资料,旨在促进医药信息的沟通和交流。其中内容可能含有未在中国批准的药品或临床适应症,仅供医疗卫生专业人士参考,处方请参考国家食品药品监督管理总局批准的药品说明书。如需转载,请与本网站或与作者联系,未获得本网站或作者的同意,严禁任何形式的转载。