
中国之声 | 黄晓军院士、孙于谦教授团队:首次单倍体造血干细胞移植植入失败接受挽救性单倍体移植治疗的新方案研究数据更新
医脉通编辑整理,未经授权请勿转载。
植入失败(GF)是异基因造血干细胞移植(allo-HSCT)后的一种罕见但致命的并发症,如果不进行挽救性治疗,病死率接近100%。目前还没有关于这种并发症最佳治疗方法的一般建议。通常建议进行二次移植以挽救患者的生命。然而,二次移植中的预处理方案、供者选择、移植物抗宿主病(GvHD)预防以及其他变量,目前尚无标准方案。二次移植的结局通常较差,1年生存率约为11%-66%。GF包括移植排斥(GR)和植入功能不良(PGF),最常见于单倍体造血干细胞移植(haplo-HSCT)后,根据移植方式的不同,其发生率约为1%-10%。haplo-HSCT后挽救性移植治疗GF的报道较少,更多的是回顾性总结,而不是对具体的二次移植方法的探索。
北京大学人民医院黄晓军院士、孙于谦教授团队制定了一种新haplo-SCT方案来处理第一次haplo-HSCT后的GF。2021年报告了在2018-2020年纳入的首批13例患者的研究结果。近期,黄晓军院士、孙于谦教授团队发表了最新数据(包括既往报道的13例患者),这些数据进一步证明了这种新方案的可行性。医脉通整理如下,以飨读者。
研究方法
该研究是既往临床试验(NCT03717545)的扩展。符合以下标准的患者使用新方案接受了第二次移植:(1)诊断为急性白血病、骨髓增生异常综合征或淋巴瘤;(2)第1次allo-HSCT后发生GF;(3)签署本研究知情同意书。
二次移植方案:预处理方案为从第- 6日至第- 2日给予Flu(30 mg/m2/d,静脉注射);第-5日和第-4日给予Cy(1000 mg/m2/d,静脉注射)。在二次移植前进行检测供者特异性抗体(DSA),优先考虑DSA阴性患者。在既往研究报告中,GvHD的预防包括巴利昔单抗
20 mg(在-1和+4天)、环孢素A
(150-250 ng/ml)和霉酚酸酯。由于急性GvHD(aGvHD)发生率高,因此在第+15日追加了1剂巴利昔单抗(共3剂),以加强对GvHD的预防。
二次移植的主要终点为二次移植后28天内的中性粒细胞植入时间。次要研究终点为血小板植入时间、植入功能良好(GGF)率、急性GvHD、慢性GvHD(cGvHD)、巨细胞病毒(CMV)再激活、EB病毒(EBV)再激活、复发率、治疗相关死亡率(TRM)、总生存期(OS)、无白血病生存期(LFS)。
研究结果
30例患者接受了挽救性移植。所有患者均接受了清髓性预处理方案,大多数(93.3%)接受了Bu/Cy/ATG(表1)。在第1次移植后,第2次haplo-HSCT的中位时间为96.5(范围:33-215)天。
表1

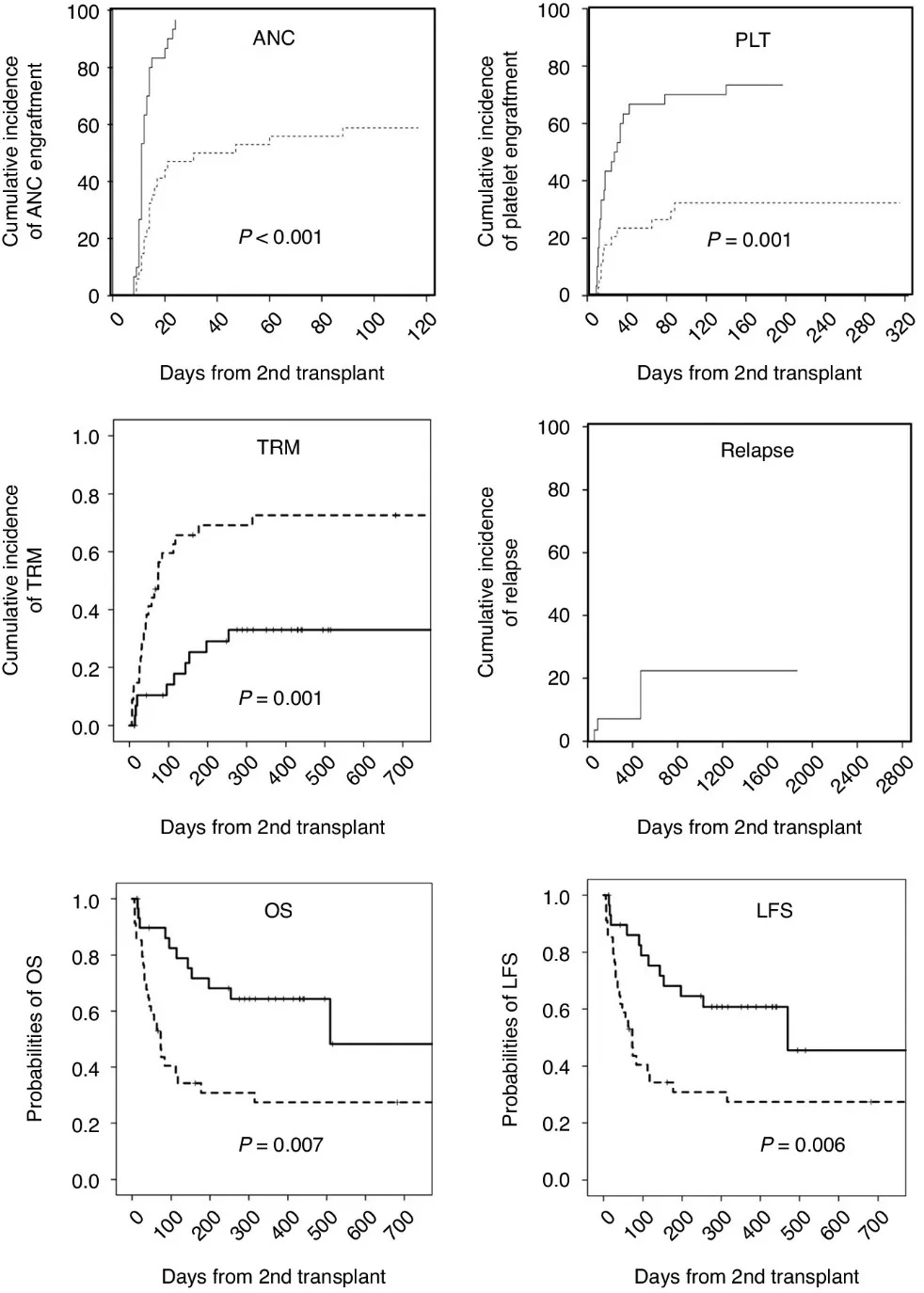
30例患者中,1例于第二次haplo-HSCT后的19天死亡。29例患者中性粒细胞植入中位时间为11(范围:8-24)天,22例患者血小板植入中位时间为17.5(范围:9-140)天(表2)。第2次haplo-HSCT后30、60、90天分别有16例(55.2%)、20例(69.0%)和21例(72.4%)患者获得GGF。末次随访时,GGF为75.9%。
表2

中位随访时间为295天,20例(66.7%)患者存活。在本次随访前发生的12例死亡中,6例由感染引起,3例由GvHD引起,3例由复发引起(表3)。
表3

1年OS率和LFS率分别为60%和53.3%。累积复发率(CIR)和TRM分别为6.7%和33.3%(图1)。

图1
研究结论
既往的研究已经报道了使用新方案进行第二次haplo-HSCT挽救性治疗的积极结果。该研究进一步证实了这种新方案在植入效果和生存率方面的优势,表明它可能是恶性血液病患者在首次allo-HSCT后的一种可行的GF挽救治疗方案。然而,目前还没有标准的第二次移植方案。本研究是首次报道了GF移植后统一的挽救方案,特别是在haplo-HSCT中。
尽管该研究的结果令人鼓舞,但研究者仍认为有几个方面需要改进,如需要进行多中心研究来验证这种新方案的有效性。目前,对GF的潜在机制尚未完全了解,进一步研究可能有助于优化移植方案。此外,该方法是否适用于非恶性疾病等还需要进一步探讨。
综上所述,使用低毒性的预处理方案,然后从不同供者进行haplo-HSCT是一个有希望的治疗方案,可以挽救第一次haplo-HSCT后的GF患者。

黄晓军 院士
博士生导师、主任医师、北京大学博雅讲席教授
中国工程院院士
北京大学血液病研究所所长,国家血液系统疾病临床医学研究中心主任
中国医学科学院学术咨询委员会学部委员
法国国家医学科学院外籍院士
国自然基金委创新群体、教育部、科技部创新团队负责人
世界华人医师协会第四届理事会副会长
第四、五届中国医师协会血液科医师分会会长
中国病理生理学会实验血液学分会主任委员
第九届中华医学会血液学分会主任委员
Journal of Translational Internal Medicine执行主编,Brit J Hematol,J Hematol & Oncol,Ann Hematol, Chin Med J等核心期刊副主编,第九届中华血液学杂志总主编
主持“国家重点研发计划”、“863”、国自然“杰青”、国自然重点项目、国自然重大项目等国家级课题;以通讯/第一作者发表SCI含Lancet Oncol等IF>10的118篇,单篇最高IF 54.4,被引10867次;获批专利22项;排名第一获国家科技进步二等奖2项、省部级一等奖4项,获何梁何利科学技术与进步奖,光华工程科技奖,国际血液与骨髓移植研究中心(CIBMTR)杰出服务奖等

孙于谦 教授
主任医师、副教授、博士生导师
北京大学人民医院血液内科
北京大学血液病研究所
国家血液系统疾病临床医学研究中心
第十一届中华医学会血液学分会造血干细胞应用学组委员兼秘书
中国医药教育协会真菌病专业委员会秘书长
北京市医学会血液学分会青年委员会委员
中国老年医学学会血液学分会移植感染专业组委员
中国医药教育协会感染疾病专业委员会青年委员
欧洲骨髓移植协作组(EBMT)高级访问学者
欧洲骨髓移植协作组(EBMT)全球青年大使