
姜尔烈教授:纵览R/R AML治疗进展,开拓IDH1突变AML治疗新视野
急性髓系白血病(AML)是成人白血病中常见的类型,传统治疗包括化疗和造血干细胞移植,但多达50%的患者在初始治疗中未达到缓解或缓解后复发,进而发展为复发/难治性(R/R)AML,给临床治疗带来了极大挑战1。近年来,随着医学技术的不断进步,AML治疗领域取得了突破性进展,其中靶向治疗药物的出现使R/R AML治疗发生了翻天覆地的变化。特别是针对异柠檬酸脱氢酶-1(IDH1)突变的R/R AML患者的新型靶向治疗药物艾伏尼布的问世,为这类患者带来了全新的治疗选择和希望。为此,本文将剖析IDH1突变R/R AML的治疗进展,以期为临床治疗提供参考。
R/R AML治疗日新月异,精准靶向药物崭露锋芒
AML是成人白血病中常见的类型,也是预后较差的白血病亚型。传统“3+7”强化疗方案是新诊断适合化疗AML患者的标准治疗方案,然而10%-40%的新诊断AML患者在强化化疗后无法达到完全缓解(CR),即使初始治疗达到CR仍有约50%患者复发1。同样,接受异基因造血干细胞移植(allo-HSCT)的AML患者复发率也高达30%2。复发后患者预后更差,中位总生存期(OS)仅为5-7个月3。
近年来,随着化疗、靶向治疗、免疫治疗等治疗方案的不断改进,R/R AML患者预后得以改善。与传统化疗相比,靶向治疗药物作用机制更具特异性、毒性更低,成为R/R AML患者新的治疗选择2。研究表明,与采用标准化疗方案治疗的AML患者相比,根据不同的基因突变采用精准靶向治疗患者的OS显著延长4。
精准靶向药物艾伏尼布开拓IDH1突变R/R AML患者治疗新格局
目前临床中已经成功开发出诸多针对AML常见突变的精准靶向治疗药物。其中,AML患者中IDH1突变的发生率约为6%-10%,其参与AML的发生发展,成为AML的重要治疗靶点2。全球范围IDH1抑制剂研发进展迅速,多款药物处于Ⅰ至Ⅲ期临床实验中。目前,全球仅两款IDH1抑制剂获得FDA批准上市,分别为:Olutasidenib用于IDH1突变的R/R AML成人患者5;艾伏尼布(Ivosidenib)用于IDH1突变的多个瘤种包括AML(初诊AML:联合阿扎胞苷或单药用于IDH1突变的新诊断75岁以上或不能耐受强化疗的AML成人患者,或单药用于R/R AML成人患者),复发难治性MDS(骨髓增生异常综合征)成人患者和局晚期或转移性CCA(胆管癌)成人患者6。同时,艾伏尼布已于2022年获得国家药品监督管理局(NMPA)批准用于采用经充分验证的检测方法诊断为携带IDH1突变的R/R AML成人患者7。
艾伏尼布的获批主要来源于其全球关键性研究AG120-C-001和中国桥接研究CS3010-101的疗效和安全性数据。
01
全球关键性研究AG120-C-001:艾伏尼布在IDH1突变R/R AML患者中CR/CRh率为31.8%,耐受性良好
AG120-C-001研究是一项多中心、开放标签、Ⅰ期剂量递增和扩增研究,旨在评估艾伏尼布治疗IDH1突变的晚期血液系统恶性肿瘤的安全性、最大耐受剂量、药代动力学和药效学特征以及临床活性。
2018年美国临床肿瘤学会(ASCO)年会上更新了该项临床研究的结果。该研究共纳入了258例患者,其中179例为R/R AML患者。研究结果显示,在每日接受500mg艾伏尼布的179例R/R AML患者中,CR/完全缓解伴部分血液学恢复(CRh)率为31.8%,CR率为24.0%,CR/CRh的中位持续时间为8.2个月,达CR/CRh的中位时间为2个月(表1)。中位随访15.3个月后,达到CR+CRh患者的中位OS为18.8个月(图1)。达到CR或CRh的患者中,有23%的患者清除了骨髓单核细胞的IDH1突变8。≥3级治疗相关的不良事件发生率较低,常见的≥3级治疗相关不良事件包括QT间期延长(7.8%)、IDH分化综合症(3.9%)等9。研究表明,艾伏尼布治疗IDH1突变R/R AML可达到持久缓解,且患者耐受性良好。
表1. 艾伏尼布治疗患者的血液学缓解情况和缓解持续时间


图1. 接受艾伏尼布治疗后不同缓解情况的患者的OS
基于艾伏尼布AG120-C-001研究的突破性成果,2024年V2版NCCN AML诊疗指南推荐艾伏尼布治疗IDH1突变R/R AML患者10。
02
中国桥接研究CS3010-101:艾伏尼布治疗中国IDH1突变R/R AML的CR/CRh率为36.7%,耐受性良好
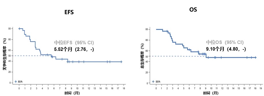
CS3010-101是一项多中心、单臂、Ⅰ期研究。该研究共纳入30例IDH1突变的R/R AML患者,结果显示,在30例可评估患者中,CR+CRh率为36.7%,11例患者均达到CR。预估12个月CR+CRh的持续缓解率为90.9%(图2)。2例(6.7%)患者在达到CR或CRh后接受造血干细胞移植。中位无事件生存期(EFS)为5.52个月,中位OS为9.1个月,CR/CRh患者的中位OS尚未达到(图3)。特别关注的不良事件为IDH分化综合征(10.0%)和QT间期延长(3.3%)等,未发现非预期的不良事件11。研究提示,艾伏尼布在中国IDH1突变R/R AML患者中观察到的安全性和疗效数据与关键性研究AG120-C-001中观察到的数据相当,具有临床获益,有望满足中国此类患者的医疗需求。

图2. 接受艾伏尼布治疗的中国患者的缓解率

图3. 接受艾伏尼布治疗的中国患者的生存期
凭借艾伏尼布在中国患者中的优异表现,2024版CSCO恶性血液病诊疗指南、中国复发难治性急性髓系白血病诊疗指南(2023年版)均推荐艾伏尼布用于IDH1突变的AML患者12-13。
03
IDALLO研究:艾伏尼布治疗移植后复发AML中位缓解持续时间18.3个月
最近,一项法国骨髓移植和细胞治疗学会的多中心回顾性研究(IDALLO研究),评估了艾伏尼布在移植后复发AML中的疗效和安全性。
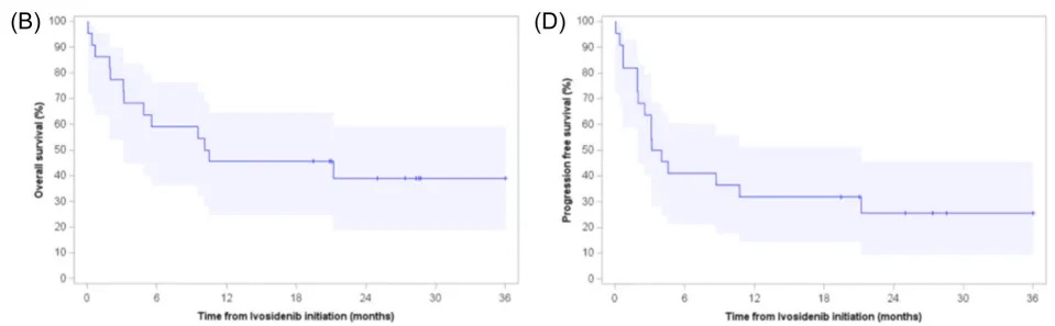
该研究共纳入22例12个法国中心2018年6月至2021年4月期间移植后复发的≥18岁IDH1突变AML或骨髓增生异常综合征患者。结果显示,移植后复发的中位时间为5.8个月。总缓解率(ORR)为40.9%,其中CR率为36.4%。中位缓解持续时间为18.3个月。中位随访27.4个月,中位OS为10.3个月,18个月生存率为45.5%。中位无进展生存期(PFS)为3.6个月(图4)。10例患者(45%)出现中性粒细胞减少症,12例(55%)患者出现血小板减少症,未出现分化综合征和观察到任何可能导致艾伏尼布停药的严重不良事件。启用艾伏尼布治疗后,没有患者出现急性移植物抗宿主病。结果提示,应在IDH1突变R/R AML患者中使用艾伏尼布直至疾病进展2。

图4. 移植后复发患者接受艾伏尼布治疗的生存期
AML移植后维持治疗迎来新希望,艾伏尼布助力生存获益
艾伏尼布不仅在治疗移植后复发AML中表现优异,而且在AML移植后维持治疗中展现出颇具前景的疗效优势。
一项多中心、Ⅰ期临床研究探讨了IDH1突变AML患者移植后接受艾伏尼布维持治疗的疗效和安全性。该研究共纳入了16例患者,分别在移植后第30-90天开始使用艾伏尼布每日500mg维持治疗,每28天为1个周期,持续12个周期,结果显示,2年OS率为88%,2年PFS率为81%,2年累积复发率为19%,2年累积非复发死亡率为0%。≥3级不良事件不常见,仅有2例患者发生3级QT间期延长。移植后6个月II-IV级急性移植物抗宿主病的累积发生率为6.3%,但未检测到III-IV级急性移植物抗宿主病病例(图5,表2)14。该研究提示,艾伏尼布作为IDH1突变AML患者移植后维持治疗方案,在OS、PFS方面展示出较好的优势,2年累积复发率仅为19%,同时耐受性良好,或可用于预防AML复发。

小结
近年来,随着靶向治疗药物等新药的出现和应用,R/R AML治疗飞速发展。其中,IDH1突变靶向药物艾伏尼布已在中国成功上市,为国内IDH1突变AML患者带来了诸多临床获益。相信艾伏尼布未来将涌现更多新进展、新突破,助力临床治疗阵线前移,为更多AML患者带来福音。

姜尔烈 教授
中国医学科学院血液病医院(中国医学科学院血液学研究所)
医学博士、主任医师、博士生(后)导师
中国医学科学院血液病医院干细胞移植中心主任
中国初级卫生保健基金会造血干细胞移植专委会主任委员
中国血液病专科联盟白血病自体移植协作组组长
中华医学会血液学分会造血干细胞应用学组副组长
中国抗癌协会血液肿瘤专业委员会常务委员,造血干细胞移植与细胞治疗学组副组长
CSCO自体造血干细胞移植工作组副组长
天津市抗癌协会常务理事
天津市血液与再生医学学会副理事长
中华血液学杂志、白血病&淋巴瘤等杂志编委