
“奥”然屹立,世界之巅——奥雷巴替尼3项重磅研究亮相2024 EHA,为Best-in-Class再添有力新证!
奥雷巴替尼
(Olverembatinib, HQP1351)是国研原创1类新药,可有效抑制BCR-ABL酪氨酸激酶野生型及多种突变型的活性1,作为中国首个获批上市的三代BCR-ABL抑制剂,奥雷巴替尼不仅改变了我国包括T315I突变慢性髓系白血病
(CML)患者无药可医的现状,也逐步满足了一线至多线酪氨酸激酶抑制剂(TKI)耐药CML和费城染色体
阳性的急性淋巴细胞白血病
(Ph+ ALL)患者一直未被满足的临床需求。
欧洲血液学协会(EHA)年会是血液学领域规模最大、最负盛名的会议之一,一直是指导临床治疗的“风向标”。2024年第29届EHA年会于2024年6月13日~16日在西班牙马德里盛大召开,本届大会公布了多项奥雷巴替尼治疗CML和Ph+ ALL患者的最新研究,在国际舞台上发出了响亮的中国声音,为更多白血病患者通过奥雷巴替尼获益夯实了依据。
绝处亦可逢生——奥雷巴替尼治疗多线TKI耐药的CML和Ph+ ALL患者,疗效显著且耐受性良好2
MD安德森癌症中心Elias Jabbour等开展的一项临床试验,共纳入了80例经重度TKI治疗的白血病患者(CML慢性期[CP], n=62)接受口服奥雷巴替尼治疗。既往接受过2线、3线、≥4线TKI治疗的患者比例分别为17.5%、27.5%、53.8%。既往接受过ponatinib、asciminib治疗的比例分别为57.5%、31.3%。72.5%患者BCR-ABL1IS≥10%,31.3%携带T315I突变。中位随访48.9周,结果显示:
有效性:60.8%可评估的CML-CP患者获得细胞遗传学完全反应(CCyR),42.4%获得主要分子学反应(MMR)(表1);在T315I突变患者中观察到相似的应答率。
表1.CP和进展期CML患者获得的细胞遗传学和分子学反应情况

对于ponatinib治疗失败的CML-CP患者,57.7%达到了CCyR,36.7%达到MMR。对于可评估的asciminib耐药患者的患者,50%达到了CCyR,33.3%达到了MMR。对于可评估的进展期白血病患者,21.4%达到了CCyR,17.6%达到了MMR(表1)。对于T315I突变的进展期白血病患者,16.7% 达到了CCyR和/或MMR。
安全性:75%的患者经历了治疗相关不良事件(TRAEs),大多数为1/2级且临床可控。
药代动力学(PK)特征:与中国CML患者的PK数据相似。
结论:对于接受过多线治疗(包括ponatinib或asciminib耐药/不耐受)的CML-CP和进展期白血病患者,奥雷巴替尼疗效显著且耐受性良好。

重疗效亦重生活质量——奥雷巴替尼显著改善了TKI耐药CML患者的HRQoL3
北京大学人民医院江倩教授团队的一项多中心研究,共纳入了159例CML-CP或CML-加速期(AP)成人(中位年龄42岁)患者,定期填写欧洲癌症研究和治疗组织生活质量核心问卷量表(EORTC-QLQC30)、焦虑自评量表(SAS)、抑郁自评量表(SDS)问卷,通过线性模型估计患者报告结局(PRO)的时间趋势。从诊断CML至启动奥雷巴替尼治疗的时间为5年,结果显示:
EORTC-QLQC30评估结果:基线前3的严重症状负担为经济困难、疲劳和失眠
(图1A)。奥雷巴替尼治疗期间,整体健康、身体机能、情绪机能、疲劳、疼痛、呼吸困难
、腹泻
和经济困难显著改善(图1B)。

图1.(A)基线时和36个月后的EORTC-QLQC30评估结果(*p<0.05, ***p<0.01),(B)雷巴替尼治疗期间患者HRQoL的变化情况
SAS评估结果:随着时间的推移,奥雷巴替尼治疗期间评分显著降低(p<0.001)。
SAS和SDS评估结果:在奥雷巴替尼治疗36个月时,95%和59%的患者无焦虑和抑郁症状。
在多变量分析中,年龄<40岁与社会功能改善较好相关(p=0.021);CML-CP(相对于CML-AP)可更好地改善呼吸困难(p=0.028)和腹泻(p=0.042);实现MMR的患者,可以更好地改善整体健康(p=0.005)、恶心和呕吐(p=0.009)以及腹泻(p=0.001)。
结论:随着时间的推移,奥雷巴替尼治疗TKI耐药CML成人患者的健康相关生活质量(HRQoL)和焦虑症状显著改善。

强强联合,实力突破——奥雷巴替尼联合BiTE一线治疗有望进一步改善Ph+ ALL患者长期生存4
南方医科大学南方医院周红升教授团队的一项研究,共纳入了31例新诊断的Ph+ ALL成人(中位年龄40岁)患者,接受奥雷巴替尼联合儿童样化疗方案(n=19; PDT-ALL-2016方案)或贝林妥欧单抗
(BiTE药物)(n=12)治疗。中位随访16个月,结果显示:
100%的患者在一个治疗周期后均达到完全缓解(CR)。在整个队列中,90.3%患者在3个月内实现了完全分子学反应(CMR)。其中,奥雷巴替尼+化疗组和奥雷巴替尼+BiTE组分别有84.2%和100%患者在3个月内达到CMR。
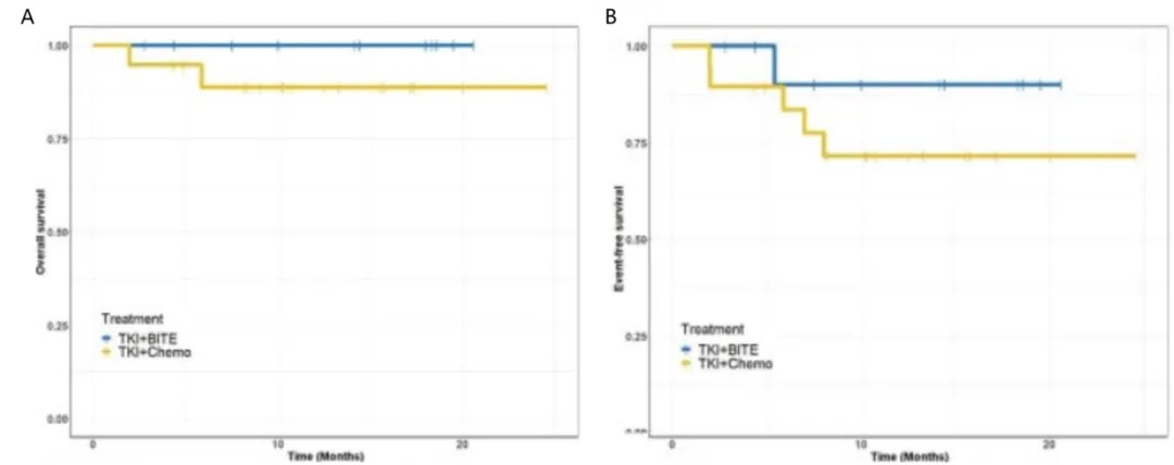
整体队列的1年总生存(OS)率和无事件生存(EFS)率分别为93.1%、78.4%,奥雷巴替尼+化疗队列的分别为96.2%、71.5%,奥雷巴替尼+BiTE队列的分别为100%、90.0%(图2)。

图2. 奥雷巴替尼+化疗 vs 奥雷巴替尼+BiTE的(A)OS结果(B)EFS结果
安全性可接受,10例(32.3%)患者出现不良事件。
结论:奥雷巴替尼联合化疗或贝林妥欧单抗治疗Ph+ ALL成人患者有望改善长期生存率。

3大核心优势,成就奥雷巴替尼全球BEST-in-Class地位
奥雷巴替尼作为首个上市的第三代BCR-ABL抑制剂,拥有3大优势,可成为新诊断及耐药CML和Ph+ ALL治疗的有力武器:
中国原创:奥雷巴替尼是中国第一个有效克服T315I突变的第三代BCR-ABL抑制剂,实现了从0到1的创新,拥有全球自主知识产权;
精准强效:83% CP患者可获得主要细胞遗传学反应(MCyR)、78% AP患者可获得主要血液学反应 (MaHR)5;对于重度TKI治疗的白血病患者,60.8%可获得CCyR,42.4%可获得MMR2;临床前研究显示,与其它常见第二代和第三代TKIs相比,奥雷巴替尼对BCR-ABL野生型及多种耐药突变细胞都有较强活性(图3)6。
安全可靠:不良事件可管可控,治疗中断率仅11.5%7。

图3. 不同ABL1激酶结构域突变的TKI敏感性谱
专家点评
北京大学人民医院江倩教授:当今由于CML治疗模式的改善、药物选择性和可及性的提高及长期甚至终身服药的特征,关注CML患者的报告、获取患者HRQoL、症状等PRO数据、以期更全面地评价TKI治疗结局是十分重要的,将PRO整合入临床试验和临床实践中已成为当今学术界的关注点之一8。既往关于三代TKI治疗的成人PRO数据有限,从此次公布的奥雷巴替尼的PRO数据中可以看出,坚持奥雷巴替尼长期治疗可以改善既往TKI耐药的CML患者的HRQoL和焦虑症状,且年龄更小、CP以及达到MMR的患者与更好地改善HRQoL相关,这对改善患者长期管理具有重要指导意义。
专家点评
南方医科大学南方医院刘启发教授:在2024版《中国临床肿瘤学会(CSCO)恶性血液病诊疗指南》指出,对于“年龄<65岁”以及“年龄≥65岁,或有严重合并症”Ph+ ALL患者的诱导缓解治疗,I级推荐奥雷巴替尼;对于复发难治性Ph+ ALL患者,I级推荐奥雷巴替尼9。考虑目前奥雷巴替尼是国内唯一获批的三代BCR-ABL TKI,奥雷巴替尼具有成为Ph+ ALL患者治疗首选的潜力。此研究显示,奥雷巴替尼联合化疗组可实现高缓解和高生存率,而无化疗方案奥雷巴替尼联合BiTE可将3个月CMR率提高至100%,1年OS率提高至100%,这为以奥雷巴替尼为基础的联合方案作为Ph+ ALL患者的一线治疗方案增添了信心。此外值得注意的是,此研究中74.19%的患者入组时合并≥1种合并症,这也为奥雷巴替尼在高危人群中的应用增加了新证。
展望
奥雷巴替尼已于2021年和2023年先后获批了伴有T315I突变的耐药CML-CP或AP和对一代和二代TKI耐药和/或不耐受的CML,随着临床证据的进一步累积,期待可以进一步拓宽适应症,让我国更多从新诊断到多线耐药的CML及Ph+ ALL患者均可有药可医,实现高质量长期生存!