
指南循证丨徐莹莹教授:从《乳腺癌小红书2024版》看HR阳性乳腺癌辅助内分泌治疗循证证据
激素受体(HR)阳性乳腺癌
约占乳腺癌总体的70%,患者数量庞大。目前,内分泌治疗是HR阳性乳腺癌患者的主要治疗手段之一。医脉通特邀中国医科大学附属第一医院徐莹莹教授分享《中国抗癌协会与中华医学会肿瘤学分会乳腺癌诊治指南与规范(2024年版 精要本)》(简称《乳腺癌小红书》)中HR阳性乳腺癌辅助内分泌治疗策略及重要循证医学证据,以飨读者。
一、指南推荐
绝经前HR阳性乳腺癌辅助内分泌治疗策略

图1.《乳腺癌小红书(2024版)》绝经前HR阳性乳腺癌辅助内分泌治疗
绝经后HR阳性乳腺癌辅助内分泌治疗策略

图2.《乳腺癌小红书(2024版)》绝经后HR阳性乳腺癌辅助内分泌治疗
二、重要循证证据
辅助内分泌治疗作为HR阳性早期乳腺癌重要的治疗方法,为了探索更好的治疗方案,已开展多项临床研究。让我们跟随徐莹莹教授,一同看看辅助内分泌治疗的推荐是基于哪些重要研究?这些研究带来了怎样的结果?
低危HR阳性乳腺癌
对初治的HR阳性乳腺癌低危患者(无论是否绝经),推荐他莫昔芬
(TAM)5年治疗方案[1]。绝经后患者的推荐初始治疗方案还包括芳香化酶抑制剂(AI)5年治疗,可以考虑的方案是TAM序贯AI治疗。
低危患者均无需考虑延长治疗。
辅助TAM的EBCTCG荟萃分析[1]汇总了20项TAM 5年辅助治疗雌激素
受体阳性(ER)早期乳腺癌的试验的患者数据,目的在于探究5年TAM辅助内分泌治疗相比未行辅助内分泌的疗效。研究纳入早期术后,ER阳性的乳腺癌患者(N=10645),随机分配接受5年TAM辅助内分泌治疗或者空白对照。主要的结果为15年乳腺癌复发风险和死亡风险。
结果显示,与对照组相比,5年TAM治疗可显著降低前10年的复发率(0~4年的相对危险度RR=0.53,5~9年的RR=0.68,p<0.00001),10~14年的RR为0.97,复发风险无明显提升,总体15年复发风险降低(RR=0.61;95%CI 0.57-0.65;p<0.00001)。5年TAM治疗后,15年死亡风险降低了30%(0~4年RR=0.71;5~9年RR=0.66;10~14年RR=0.68;15年总体RR=0.70,95%CI 0.64-0.75,p<0.0001)。

图3. 辅助TAM的复发风险与死亡风险
该荟萃分析表明,5年TAM辅助内分泌治疗可安全地降低ER阳性乳腺癌15年复发和死亡的风险。
中危且pN0 HR阳性乳腺癌
初始治疗时,推荐绝经前HR阳性乳腺癌患者进行近期风险和治疗敏感性评估;可以考虑TAM 5年[1]、卵巢功能抑制(OFS)+TAM 5年[3]或OFS+AI 5年[3]治疗方案;可选TAM序贯AI方案。绝经后患者的推荐治疗方案是AI 5年[2],考虑TAM序贯AI治疗,可选TAM 5年治疗方案。
辅助AI的EBCTCG荟萃分析[2]汇总了9项辅助AI治疗相关的随机试验的数据,目的在于探讨绝经后ER阳性乳腺癌患者初始辅助内分泌治疗的最佳治疗模式。研究纳入2005年后接受过AI 5年治疗或2-3年TAM治疗后序贯AI至5年以及TAM 5年治疗的ER阳性早期乳腺癌患者,分组为AI 5年组、TAM2-3年后序贯AI至5年组(序贯组)以及TAM 5年组。主要研究终点为乳腺癌复发风险,次要终点为乳腺癌死亡率等。
研究报告了31920名患者的疗效对比数据。结果提示,与TAM 5年组相比,AI 5年组的0-1年复发风险(RR=0.64,95%CI 0.52-0.78)和2-4年复发风险(RR=0.80,95%CI 0.68-0.93)显著降低,10年总体复发风险降低(RR=0.80;95%CI 0.73-0.88;p<0.00001)。AI 5年组的10年乳腺癌死亡率低于TAM组(12.1% vs 14.2%;RR=0.85,95%CI 0.75-0.96;p=0.009)。

图4. AI 5年组vs TAM 5年组的复发风险与死亡风险
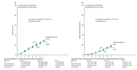
与序贯组相比,AI 5年组的0-1年复发风险显著降低(RR=0.74;95%CI 0.62-0.89)。总体来说,AI 5年组的复发风险低于序贯组(RR=0.90;95%CI 0.81-0.99;p=0.045),乳腺癌死亡率有所降低但并不显著(RR=0.89;95%CI 0.78-1.03;p=0.11)。

图5. AI 5年组vs序贯组的复发风险与死亡风险
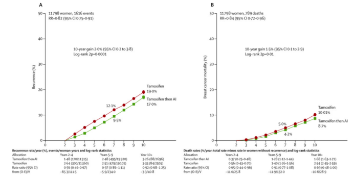
相比于TAM 5年组,序贯组2-4年的复发率显著降低(RR=0.56;95%CI 0.46-0.67),10年复发风险降低(RR=0.82;95%CI 0.75-0.91;p=0.0001),10年乳腺癌死亡率降低(RR=0.84;95%CI 0.72-0.96;p=0.015)。

图6. 序贯组vsTAM 5年组的复发风险与死亡风险
该荟萃分析表明,三种治疗方案中,绝经后ER阳性乳腺癌患者辅助AI 5年治疗的疗效较为显著,其次是TAM 2-3年后序贯AI至5年方案,均优于TAM 5年治疗。
SOFT研究[3]是一项随机III期试验,旨在探讨绝经前HR阳性乳腺癌患者分别接受TAM 5年、TAM+OFS 5年与依西美坦
(EXE)+OFS 5年的疗效。
研究共纳入3066名绝经前HR阳性乳腺癌女性患者,以1:1:1随机接受为期5年的TAM单药(N=1021)、TAM+OFS(N=1024)和EXE+OFS(N=1021)治疗。根据是否接受化疗对入组的患者进行分层。主要研究终点是无病生存期(DFS)。

图7. SOFT研究设计
研究结果提示,中位随访时间为8年时,TAM单药组的DFS率为78.9%,TAM+OFS组为83.2%(HR=0.76;95%CI 0.62-0.93;P=0.009),EXE+OFS组为85.9%(HR=0.65;95%CI 0.53-0.81)(图8A)。接受化疗的患者复发风险较高,在化疗亚组中,TAM单药组的DFS率为71.4%,TAM+OFS组为76.7%(HR=0.76;95%CI 0.60-0.97),EXE+OFS组为80.4%(HR=0.68;95%CI 0.53-0.88)(图8C)。

图8. SOFT研究DFS
SOFT研究表明,与TAM单药5年治疗相比,TAM+OFS 5年和EXE+OFS 5年治疗可显著提高患者的DFS,且EXE+OFS方案疗效更优,为绝经前HR阳性乳腺癌辅助内分泌治疗提供了新的方案。
对于这部分患者,是否延长治疗要综合评估远期风险、治疗敏感性和患者的毒副反应风险。
中危且pN1 HR阳性乳腺癌
对于中危且pN1的绝经前患者,推荐治疗方案为OFS+AI 5年[3],考虑的方案是OFS+TAM 5年[3],可选TAM单药5年或TAM序贯AI治疗方案。绝经后患者推荐AI 5年[2]治疗方案。
在延长治疗方面,若患者仍处于绝经前阶段,推荐延长TAM 5年治疗[4];若为绝经后,推荐延长AI 2-5年治疗[5][7]。
ATLAS研究[4]旨在评估TAM 10年的疗效是否优于标准的5年治疗,研究纳入已完成TAM 5年治疗的ER阳性乳腺癌患者,1:1随机分配为对照组和继续TAM治疗满10年组。主要研究终点为乳腺癌复发风险和死亡风险。

图9. ATLAS研究设计
ATLAS研究最终报告了6846名ER阳性女性乳腺癌患者的数据,相较于TAM 5年治疗(对照组),TAM 10年降低了乳腺癌的复发风险(RR=0.84;95%CI 0.76-0.94;p=0.002)和死亡风险(RR=0.83;95%CI 0.72-0.96;P=0.01)。

图10. ATLAS研究结果
ATLAS研究证实,延长TAM 5年辅助内分泌治疗可以降低ER阳性乳腺癌患者的复发风险和死亡风险,故指南推荐绝经前延长TAM 5年治疗。
MA.17研究[5]是一项随机、双盲、安慰剂对照的III期试验,旨在探索来曲唑
(LET)对已完成5年TAM治疗的绝经后HR阳性乳腺癌患者的疗效。
研究共纳入5187名患者,以1:1随机分配,试验组接受LET 5年治疗(2.5mg口服,每日一次)(N=2575),对照组接受安慰剂治疗(N=2582)。主要研究终点是DFS,次要终点为总生存期(OS)等。
研究表明,中位随访时间64个月时,LET组的DFS率显著优于安慰剂组(HR=0.68;95%CI 0.56-0.83;P<0.001),在OS方面也有获益(HR=0.99;95%CI 0.79-1.24;P=0.83)。

图11. MA.17研究DFS结果
MA.17研究证实了AI(LET)在绝经后HR阳性乳腺癌TAM辅助内分泌治疗后的延长治疗,可显著提高患者的DFS。
NSABP B-42研究[7]是一项随机、双盲、安慰剂对照的III期试验,旨在探讨绝经后HR阳性的乳腺癌患者基于5年AI治疗后再延长AI治疗的疗效。研究纳入完成5年LET或TAM序贯AI治疗后分期为I-IIIA期的绝经后HR阳性乳腺癌无疾病状态的患者,按1:1随机接受5年的LET(口服2.5mg,每日一次)或安慰剂治疗。主要研究终点为DFS。

图12. NSABP B-42研究设计
2006年9月28日至2010年1月6日期间共纳入3966名患者,其中3903名患者的数据可用于DFS分析。结果显示,中位随访时间为6.9年时,LET组的7年DFS率为84.7%,安慰剂组为81.3%(HR=0.85;95%CI 0.73-0.999;P=0.048)。

图13. NSABP B-42研究7年DFS结果
NSABP B-42研究初步结果虽未达到统计学意义,但仍然表现出了延长AI治疗可在DFS上获益的趋势。而在2023年5月15日发布的十年更新结果[8]中,中位随访时间为10.3年,与安慰剂组相比,LET组的DFS获益有统计学意义(HR=0.85;95%CI 0.74-0.96;P=0.01;10年DFS率:安慰剂组为72.6%,来曲唑组为75.9%,绝对差为3.3%)。LET与安慰剂相比总体远处复发率降低28%(10年绝对获益:1.8%;HR=0.72;95%CI 0.55-0.92;p=0.01)。
NSABP B-42研究最终证实了延长AI治疗对患者的生存获益,显著降低远处复发风险,为绝经后辅助内分泌治疗的后续加强治疗提供了新的依据。
高危HR阳性乳腺癌
对于绝经前HR阳性乳腺癌患者,指南推荐的治疗方案为OFS+标准辅助内分泌治疗(ET)+CDK4/6i(如阿贝西利
)[6],考虑的方案为OFS+AI 5年治疗,可选OFS+TAM 5年(gBRCA突变者联合PARPi[如奥拉帕利
][≥pN2且HER2阴性])方案。绝经后患者推荐AI+CDK4/6i(如阿贝西利)治疗[6]方案,可考虑AI 5年[2]方案,gBRCA突变者选择的方案为联合PARPi(如奥拉帕利)(≥pN2且HER2阴性)治疗。
在延长治疗方面,仍绝经前的患者推荐TAM 5年治疗,考虑OFS+AI 5年治疗;绝经后的患者推荐继续AI 5年治疗[5][7],可考虑延长ET 10年治疗。
MonarchE研究[6]是一项随机III期试验,旨在探讨阿贝西利联合ET对高危HR+/HER2-早期乳腺癌患者的疗效是否优于单纯标准辅助内分泌治疗。
研究共纳入5637例高危HR+/HER2-早期乳腺癌患者,按1:1的比例随机分配接受阿贝西利(150mg每日两次,2年)+ET(5-10年),或单纯ET(5-10年)。主要研究终点为无浸润性疾病生存期(iDFS),次要研究终点为无远处复发生存期(DRFS)等。
中位随访27个月时,阿贝西利+ET组与ET组的iDFS率绝对值差异为2.7%(HR=0.70;95%CI 0.59-0.82,P<0.001),DRFS的HR为0.69(95%CI 0.57-0.83;P<0.0001)。3年IDFS率和DRFS率的绝对改善分别为5.4%和4.2%。

图14. MonarchE研究中期结果
2023年ESMO上公布的数据显示,中位随访54个月时,阿贝西利+ET组持续获益,iDFS率的HR为0.680(95%CI 0.599-0.772),DRFS率的HR为0.675(95%CI,0.588-0.774)。5年iDFS率和DRFS率的绝对改善分别为为7.6%和6.7%。
MonarchE研究证明,阿贝西利联合ET治疗高危HR+/HER2-早期乳腺癌患者的疗效显著优于单纯ET治疗,持续降低患者iDFS和DRFS风险。
总结
通过对《乳腺癌小红书2024版》中HR阳性乳腺癌辅助内分泌治疗策略及其循证医学证据的总结归纳,我们认识到辅助内分泌治疗在HR阳性乳腺癌中的基石地位及其持续优化的必要性。随着新型药物的研发和循证医学证据的进一步积累,HR阳性乳腺癌患者的辅助内分泌治疗策略有望继续完善,为患者带来更优的疗效和更长的生存。

往期推荐
1. 指南循证 | 从指南看研究进展,一文汇总《乳腺癌小红书2024版》新辅助治疗推荐及重要研究结果