
【前沿速递】TIPS后发作性显性肝性脑病不会增加肝硬化患者的死亡率
经颈静脉肝内门体分流术(transjugular intrahepatic portosystemic shunt,TIPS)是一种广泛使用的非手术放射介入手术,已成为门静脉高压症
并发症患者的一种既定治疗方法,主要用于治疗静脉曲张再出血和复发性或难治性腹水
。显性肝性脑病
(Overt hepatic encephalopathy,OHE)是TIPS置入后的主要分流相关并发症。肝硬化患者在TIPS术后第一年内OHE的发生率高达35-50%,接受TIPS治疗的患者中多达8%可能会出现持续性OHE。TIPS术后发生OHE是否会增加TIPS患者的死亡率目前尚不明确,近期一项多中心、非劣效性、观察性研究,比较了大样本TIPS患者中按TIPS术后发生OHE情况划分的死亡率,医脉通特此摘译,以供临床医生参考。
一、研究方法
一项多中心、非劣效性观察性研究,以评估TIPS后有/无OHE的患者30个月的死亡率。研究分析了意大利三家中心接受TIPS的614名患者的数据库,并使用竞争风险分析估计了OHE和死亡的累积发生率,将非劣效性限度设定为0.12。
二、研究结果
1. OHE的发生情况
共计纳入了614名接受TIPS治疗的患者,随访30个月时OHE的累积发生率为47%(95%CI43-51)。TIPS置入和OHE发生的平均时间为2.4±4.7个月,平均发作持续时间为3.3±2.5天。61%的患者被检测到2级OHE,34%的患者被检测到3级OHE,5%的患者被检测到4级OHE。
在至少发生过一次OHE的293名患者中,58名(19.7%)患者发生过多次OHE,其中48%的患者发生过两次,42%的患者发生过三次,5%的患者发生过四次,5%的患者发生过五次或以上。OHE的主要诱因是脱水(40%)、感染(31%)、便秘
(13%)、与门脉高压无关的胃肠道出血(5%)、使用苯二氮卓类药物(5%)或其他原因(6%)。
2. 死亡情况
在中位随访期30个月内,共计168名(27%)患者死亡,其中64名(10%)患者接受了移植。死亡的主要原因包括:慢加急性肝衰竭
(36%)、感染和脓毒症
(32%)、心力衰竭(15%)、肝细胞癌
(7%)和其他与肝病无关的原因(10%)。
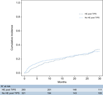
将肝移植
(liver transplantation,LT)作为竞争风险考虑在内,TIPS后死亡率的估计值在有/无TIPS后OHE的患者中是相似的(图1)。在有/无OHE的患者中,30个月时的死亡率分别为0.34(0.28–0.40)和0.31(0.25–0.37)。有/无OHE患者之间30个月时的死亡率差异为0.03(-0.042至0.102)。因此,CI的上限(0.102)低于预先指定的非劣效性置信限度0.12。在此基础上,可认为TIPS后有OHE患者的死亡率不劣于无OHE患者的死亡率。

图1 在患有/无TIPS后OHE的患者中的估计死亡率
三、研究结论
无论分流指征如何,TIPS 后发生OHE都不会增加患者死亡率。但OHE可对患者的生活质量和发病率产生不利影响,因此对于接受选择性TIPS的患者来说仍然是一个重大问题。持续性OHE虽然在TIPS后并不常见,但仍是与死亡率增加相关的重要并发症。因此,深入研究改善患者选择和风险分层仍然至关重要。