
大咖解读丨薛胜利教授:CAV方案桥接异基因造血干细胞移植治疗复发难治AML,使更多患者获得缓解,延长患者生存
医脉通编辑整理,未经授权请勿转载。
异基因造血干细胞移植(allo-HSCT)是复发难治急性髓系白血病(R/R AML)的根治性疗法。在接受allo-HSCT时AML未缓解的患者,移植后复发率高[1]。传统挽救性化疗治疗反应率低,器官毒性高,使部分患者丧失移植机会[2]。克拉屈滨(CLAD)是一种强效DNA聚合酶和核糖核苷酸还原酶抑制剂,可选择性杀灭单核系白血病干细胞。CLAD和BCL2抑制剂维奈克拉(VEN)以及阿糖胞苷对AML具有协同增效作用[3, 4]。苏州大学附属第一医院薛胜利教授团队进行了一项研究[5],探索了克拉屈滨、小剂量阿糖胞苷、维奈克拉(CAV)方案桥接异基因造血干细胞移植治疗R/R AML的疗效和安全性,研究结果于2024年发表在Blood Cancer Journal,医脉通特邀薛胜利教授对此进行解读。
研究方法
这项2期临床研究(NCT05190549)采用CAV方案(CLAD、LDAC和VEN)治疗R/R AML,具体用药包括:CLAD 5mg/m2,静滴,第1-5天;阿糖胞苷,20mg,皮下注射,每12小时一次,第1-10天;维奈克拉,剂量递增,第3天起增加为400mg,口服,第1-21天。
研究结果
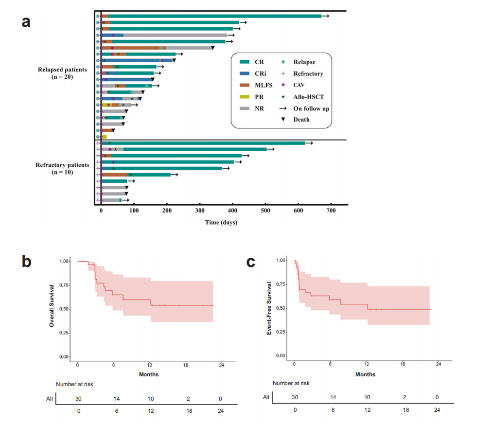
2021年10月至2023年1月,共纳入30例R/R AML患者,男16例,女14例,中位年龄为39.5(范围:16-68)岁。原发AML 28例,继发AML 2例。13例患者接受过维奈克拉治疗。入组前接受的中位治疗线数为2(范围:1-4)线。22例接受了1个周期CAV治疗,8例接受了2个周期CAV治疗。11例(36.7%)接受CAV作为复发后首次挽救治疗。
1周期CAV后的总反应率(ORR,包括CR、CRi、MLFS和PR)为70%(95% CI 52.1-83.3%)。R/R AML患者的ORR无差异。既往接受过VEN治疗的患者,ORR低于未接受过VEN治疗的患者(8/13、61.5% vs 13/17,76.5%,P=0.006)。在获得治疗反应的患者中,42.9%(9/21)为MRD阴性。66.7%(6/9)复发AML在接受CAV作为首个挽救方案后出现应答。所有7例CEBPA突变患者和4例RUNX1突变患者均对CAV有反应。77.8%(7/9)的NRAS突变患者对CAV有治疗反应。两例7号单体或复杂核型患者对CAV均无反应。18例患者在CAV后接受了allo-HSCT。移植时,5例处于未缓解状态,4例CR,1例CRi,8例MLFS。5例为同胞全相合移植,5例非血缘供体移植,7例为单倍体移植,1例为脐带血移植。
中位随访时间为12.4个月(95% CI,4.2-20.7个月)。复发AML和难治AML组,预计1年OS率分别为77.8%(95% CI,36.5-93.9)和50.7%(95% CI,24.2-72.2),预计1年EFS率分别为60.0%(95% CI,25.3-82.7)和51.1%(95% CI,26.2-72.2)。接受allo-HSCT患者的OS优于未移植的患者的OS。多变量COX回归分析显示,难治性AML(HR=5.55; 95% CI 1.01-30.45;P=0.048)、既往未接受VEN治疗(HR=0.11;95% CI 0.02-0.55; P=0.008)和接受allo-HSCT(HR=15.01; 95% CI 2.99-75.52; P=0.001)与OS延长相关。
最常见的≥3级血液学AE为中性粒细胞减少(76.7%)、血小板减少(73.4%)、贫血(83.4%)和发热性中性粒细胞减少症(30.0%)。达到中性粒细胞0.5×109/L和血小板>20×109/L的中位时间分别为21天(3-28天)和17天(8-21天)。最常见的≥3级非血液学AE为肺炎(16.7%)、其他感染(10%)和败血症(10%)。没有患者出现肿瘤溶解综合征。

图1 所有患者的缓解情况和生存期
研究结论
CAV方案桥接allo-HSCT治疗R/R AML安全、有效。为R/R AML患者桥接移植、延长生存提供了新的治疗策略。
专家点评
薛胜利教授
CAV方案在新诊断AML中的复合完全缓解(CRc)率为93%[6],但在R/R AML中疗效尚不清楚。这是一项探讨CAV方案桥接allo-HSCT治疗R/R AML患者的临床研究,结果提示CAV方案治疗R/R AML有较高的缓解率和较好的安全性,研究成果被中国难治复发急性髓系白血病诊疗指南(2024)[7]引用,值得在更大样本的病例中进行验证。

薛胜利 教授
苏州大学附属第一医院
医学博士,主任医师,教授,博士研究生导师
中国研究型医院学会细胞研究与治疗专业委员会副主任委员
江苏省医学会第十届血液学分会基层组副组长
中国康复医学会血液病专委会青年委员会第一届副主任委员
江苏省医学会第九届血液学分会青年委员会副主任委员
中国抗癌协会肿瘤营养专业委员会营养预防学组副组长
江苏省血液学分会造血干细胞移植学组委员
中国医药教育协会白血病分会委员
江苏省医学会罕见病学分会第二届委员
第三届中华中医药学会血液病分会常务委员
江苏省研究型医院学会造血干细胞移植和免疫治疗专业委员会常务委员