
研究速递 | 中国人口抑郁与死亡率的相关性:2010-2022
医脉通编译,未经授权请勿转载。
抑郁已成为紧迫的全球健康问题,截至2015年患者数量达3.2亿,患病率为4.4%。尽管全球范围内的研究均表明抑郁与死亡率增加相关,但专门针对中国人口的证据有限。
中国慢性病及危险因素监测调查(CCDRFS)是由国家慢性非传染性疾病预防控制中心负责的长期性全国调查。2010年CCDRFS在全国162个疾病监测点(DSP)进行,共纳入超过10万名18岁及以上个体。一项近期发表于China CDC Weekly的研究中,研究者基于2010年CCDRFS数据分析了国内抑郁患者12年内的死亡风险。
研究简介
本项研究将2010年CCDRFS的个体数据与国家死亡监测系统(NMSS)2022年之前的记录进行交叉比对,建立了随访12年的队列。2010年CCDRFS研究使用9项患者健康问卷(PHQ-9)评估了参与者的抑郁情况,PHQ总分≤5定义为无抑郁,5<PHQ-9总分≤15定义为轻中度抑郁,PHQ-9总分>15定义为重度抑郁。
为确保可比性,研究根据参与者的年龄分布对基线特征比例进行了标准化;使用了累积发生率函数(CIF)并进行对数秩检验;通过调整各种协变量的三个Cox模型计算了风险比(HRs)和95%置信区间(CI);在不同亚组中使用Cox模型进行了亚组分析。
研究结果
全部98,658名受试者中,288人因超过4个PHQ-9问题未回答而被排除在外。剩余98,370人中,5,683人(5.78%)存在轻中度抑郁,341人(0.35%)存在重度抑郁。7,333人在平均11.60年的随访中死亡。
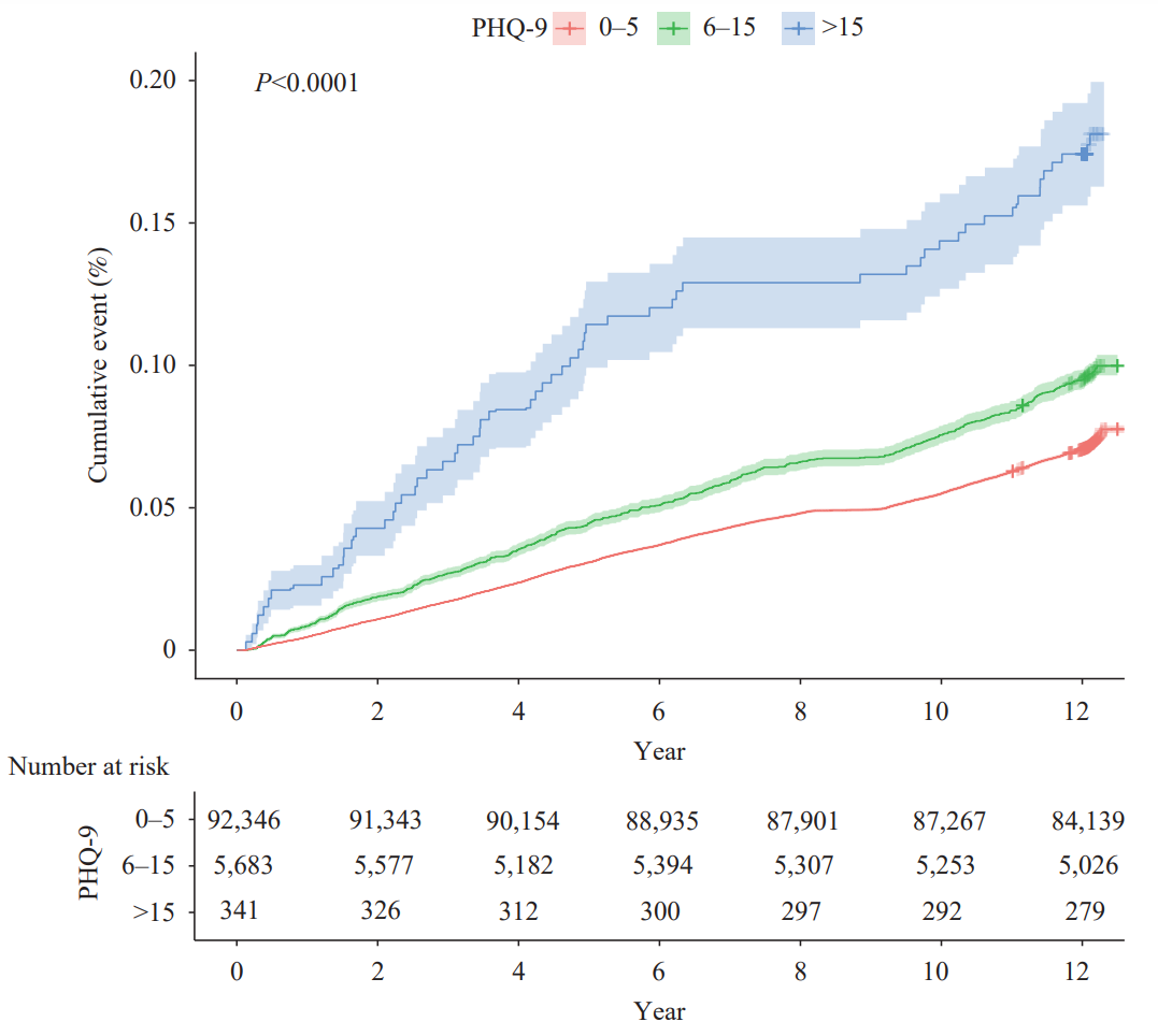
与无抑郁个体相比,存在抑郁者的累积死亡率更高(图1);调整协变量后,轻中度抑郁(HR=1.12,95%CI 1.03-1.23)和重度抑郁患者(HR=1.88, 95%CI 1.46-2.43)在随访期间的死亡风险均较无抑郁个体显著增加。

图1. 基于抑郁严重度分类的整个研究期间的累积死亡情况(%)
重度抑郁患者中,男性(HR 2.60 vs. 1.49)、城镇居民(2.34 vs. 1.56)、年轻人(<60 岁,2.02 vs. 1.79)、高学历人群(2.98 vs. 1.57)、低体重人群(2.16 vs. 1.62)的死亡风险更高。轻中度抑郁对大多数亚组也有显著影响。此外,男性重度抑郁患者的年龄标准化死亡率为女性的3倍(25.98 vs. 8.66,每1,000人年)。
重度抑郁与自杀
(HR=5.13, 95%CI 1.15-22.81)、非自杀性伤害(HR=3.23, 95%CI 1.21-8.60)和心血管疾病(HR=1.71, 95%CI 1.14-2.55)所致死亡风险的升高显著相关。
讨论
上述结果提示,国内人群的抑郁与死亡率存在直接关联,这种关联在男性、城镇居民、年轻个体、受教育程度较高的人群中尤为明显。此外,抑郁症患者因受伤或心血管疾病死亡的风险更高。这一结果与既往英国和美国的研究结果一致。
抑郁影响死亡率的一种潜在解释是,抑郁与吸烟、运动量不足等不健康的生活习惯相关,而基线特征中也观察到了类似的关联。另一种可能的机制是,抑郁会影响代谢功能,尤其是脂质代谢,进而导致缺血性心脏病的发生。
就重度抑郁而言,尽管女性患病率更高,但男性的死亡率却是女性的三倍,且城镇居民、年轻人、受过高等教育者的死亡率受抑郁的影响更大。这些差异可能源于不同亚组群体面对抑郁时不同的心理和行为反应。例如,与女性相比,男性寻求帮助的可能性更低;相比于年长者,年轻人所经历的与抑郁相关的污名更多。上述研究结果凸显了满足这些人群精神健康需求的重要性,尽管他们可能被认为拥有更好的躯体及社会经济条件。
作者建议为所有抑郁患者提供心理干预,无论症状严重程度如何;建议为男性、城镇居民、年轻人及受教育程度较高的抑郁患者提供较目前更多的躯体和心理支持。此外,除避免自杀及心血管问题外,采取安全预防措施以预防意外伤害同样至关重要。
文献索引:Wang JF, Zhao ZP, Yang J, et al. Preplanned Studies: The Association Between Depression and All-Cause, Cause-Specific Mortality in the Chinese Population — China, 2010–2022. China CDC Weekly. 2024, 6(40): 1022-1027