
【医语呈文】前沿解读丨变应性鼻炎的防与治——中国人群关注花粉播报情况的多维度分析

引言
2024年1月,北京大学第三医院徐驰宇等于《中华耳鼻咽喉头颈外科杂志》发表《中国人群关注花粉播报情况的多维度分析:一项国内大规模多中心横断面调查》一文,多维度调查中国人群关注花粉播报情况,分析国内变应性鼻炎
(allergic rhinitis,AR)患者的现状1。本期内容,我们特别邀请到浙江中医药大学附属第二医院李明艳医师,围绕这一研究展开详细解读,以飨读者。
全面剖析研究背景
AR发病率较高且呈逐年上升趋势,全球约10%-40%人群受AR困扰1。其中,花粉诱导的AR(pollen‑induced AR,PiAR)是指以花粉作为主要过敏原的鼻部变态反应性疾病,占我国AR患者总数的10.5%-31.4%1。通过特定的采样装置,检测分析当地每日气传花粉浓度,并根据观测资料建立数据模型、预测花粉浓度,可为PiAR患者提供过敏原回避依据,目前国内已在多个城市开展花粉播报,但尚未全国大范围普及与推广1。
该项研究,针对国内7个大区AR患者及非AR人群开展多中心横断面调查,收集了7056名受试者的基本特征以及其关注花粉播报的情况、接收花粉播报的意愿和治疗满意率等,多维度分析中国人群(包含AR患者)关注花粉播报的情况1。
深入解读研究结果
受试者中关注花粉播报的比例
在所有受试者中,关注过花粉播报的比例为23.02%;其中,3176例自报AR患者和1019例PiAR患者关注花粉播报的比例分别为25.60%和39.16%,显著高于非AR(20.90%)和非PiAR受试者(20.29%),P值均<0.0011。
AR患者中关注花粉播报的比例
在AR患者中,春、秋季花粉过敏原阳性组患者关注花粉播报的比例分别为40.42%、39.67%,显著高于常年过敏原阳性组(29.49%);子女罹患AR组患者关注花粉播报的比例为(32.21%),显著高于子女未患AR组(25.11%)和无子女组(17.85%);伴有哮喘、鼻窦炎、变应性结膜炎和心脑血管疾病组患者,关注花粉播报的比例分别为39.60%、28.40%、34.85%,显著高于不伴合并症组AR患者(20.34%),P值均<0.0011。
各大区AR患者过敏原检出率及其关注花粉播报的比例
在各大区AR患者中,华北地区患者春季、秋季花粉过敏原检出率分别为29.03%、24.82%,东北地区患者春季、秋季花粉过敏原检出率分别为28.48%和22.52%,高于其他大区;华南地区患者常年过敏原检出率则高达50.36%(见图1)1。

图1:全国各大区AR患者春季、秋季及常年过敏原检出情况(n代表人数)1
从关注花粉播报的比例来看,华北地区AR患者关注花粉播报的比例为31.14%,显著高于东北地区(16.23%),P<0.001;且华北地区AR患者可在本地区查到花粉播报的比例为31.01%,更是显著高于其他大区,P值均<0.05(见表1)1。这一结果,提示我国华北地区花粉播报的推行程度好于其他地区,或与该地区花粉过敏原检出率较高有关1。

表1:全国各大区AR患者关注花粉播报情况1
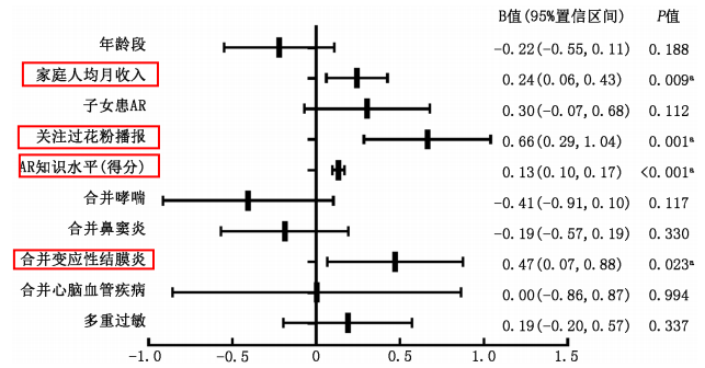
PiAR患者接收花粉播报意愿的影响因素分析
多变量线性回归分析显示:PiAR患者中,家庭人均月收入较高、AR疾病认知水平较高、既往关注过花粉播报及合并变应性结膜炎者,接收花粉播报的意愿更强烈,P值均<0.05(见图2)1。

图2:中国花粉诱导的变应性鼻炎(AR)患者接收花粉播报意愿的多变量线性回归分析结果1
(B值为斜率,代表自变量每改变一个单位因变量的变化值;a代表差异有统计学意义)
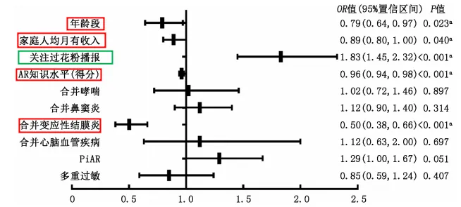
AR患者的治疗效果满意率及相关因素分析
Logistic 回归分析结果提示,AR 患者中,关注过花粉播报者治疗满意率更高;合并变应性结膜炎、所属年龄段较大、家庭月收入较高者,治疗满意率较低;且令人意外的是,患者的疾病认知水平越高,治疗满意率越低1。

图3:AR患者治疗满意与否的二项Logistic回归分析1
(B值为斜率,代表自变量每改变一个单位因变量的变化值;a代表差异有统计学意义)
由此可见,在所有受试者中,AR和PiAR患者关注花粉播报的比例显著高于非AR和非PiAR受试者;春/秋季花粉过敏原检测阳性、子女罹患AR、伴合并症的AR患者,关注花粉播报的比例更高1。华北、东北等北方地区春秋季过敏原检出率较高,而华中、华南等地区过敏原则以常年性为主。PiAR 患者接收花粉播报的意愿,受到疾病认知水平、既往是否关注过花粉播报等多种因素影响1。接收过花粉播报的AR患者相比未接收者,其治疗满意率更高,进一步说明接收花粉播报、主动参与治疗在AR治疗中的重要性1。
专家寄语
目前,国内外关于AR和PiAR患者关注或接收花粉播报情况的报道较少,该项大规模多中心调查花粉播报关注情况的研究,有助于了解 PiAR 患者接收花粉播报意愿的相关影响因素,为AR疾病健康教育和普及花粉播报提供参考依据1。
从AR“防治结合、四位一体”的策略出发,建议加强AR患者的健康教育,提高其疾病认知水平,鼓励更多患者关注并接收花粉播报,尽可能地避免或减少接触过敏原和各种刺激物,以获得更好的治疗体验1,2。同时,应予以患者合理、规范的药物治疗,以控制患者症状、改善患者生活质量。
《中国变应性鼻炎诊断和治疗指南(2022年,修订版)》推荐鼻用糖皮质激素
作为AR的一线治疗药物,强调在使用时需按照推荐剂量每天喷鼻1~2次,轻度AR和中-重度间歇性AR疗程应不少于2周,中-重度持续性AR疗程应在4周以上2。丙酸氟替卡松
,作为新一代鼻用糖皮质激素,在抗炎、抗过敏方面具有较强的功效,常用于防治季节性变应性鼻炎、常年性变应性鼻炎,并具有良好的疗效和安全性,是应对变应性鼻炎的一大“有力武器”,值得推广应用3。
专家简介

- 李明艳 医师 -
浙江中医药大学附属第二医院
耳鼻喉科主治中医师
中华中医药学会耳鼻喉科分会青年委员
浙江省中医药学会耳鼻喉科分会青年委员