
EBMT探索•前沿之镜丨罗依教授:VFM预处理方案用于>50岁AML患者allo-HSCT,GVHD发生率低且总体预后良好
医脉通编辑整理,未经授权请勿转载。
在进行异基因造血干细胞移植(allo-HSCT)前使用清髓性预处理(MAC)方案,虽能优化疾病控制效果,但存在显著的毒性风险。因此,老年患者往往被认为不适合接受 MAC 方案,而只能采用减低强度预处理(RIC)方案。口服 Bcl-2 抑制剂及 BH3 模拟物维奈克拉
(VEN)可增强预处理方案的抗白血病效果。然而,对于年龄相对较高患者进行allo-HSCT,在预处理方案中加入VEN的安全性和长期疗效仍有待探究。欧洲血液与骨髓移植学会(EBMT)年会于2025年3月30日至4月2日在意大利佛罗伦萨召开。浙江大学医学院附属第一医院罗依教授在2025 EBMT会议上发表了相关研究结果。医脉通整理如下,以飨读者。
第一作者:朱盼盼;通讯作者:罗依
研究方法
本研究依据临床方案,前瞻性纳入> 50岁AML患者。患者在移植前第- 8天至第- 2天接受维奈克拉(400mg /天),第- 7天至第- 3天接受氟达拉滨
(30mg/m²/天),第- 2天接受马法兰的VFM预处理方案。然后在第0天进行外周血干细胞输注。研究的终点指标包括预处理相关毒性、总体生存(OS)、无病生存期(DFS)、无 GVHD 且无复发生存期(GRFS)、复发和非复发死亡率(NRM)。
研究结果
共纳入61例AML患者,中位随访时间为536(90-1137)天。移植时患者的中位年龄为58岁(范围:51-68岁),45.9% 的患者为女性。有 5 例患者的HCT-CI≥3。总共29例(47.5%)患者rDRI为极高危。1例为同胞相合供者(MSD),11例(18.0%)为无关供者(URD),49 例(80.3%)为半相合供者(HID)。
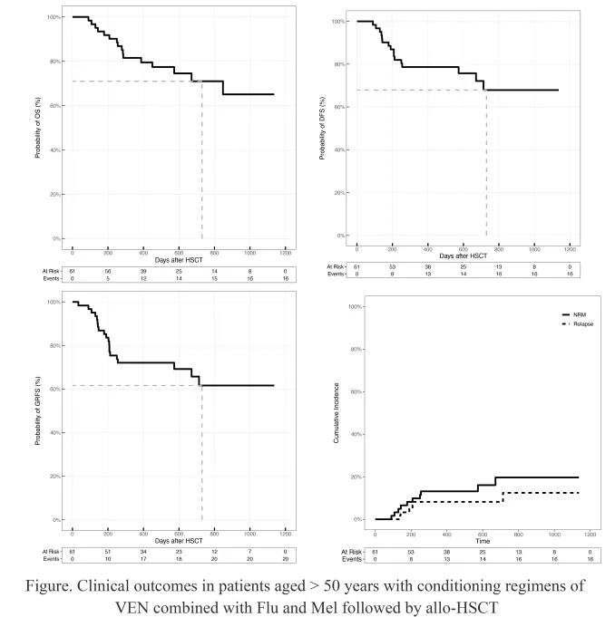
在这些患者中,2级毒性表现为口腔炎和胃肠道毒性。14例(22.9%)患者出现3级口腔黏膜炎。未观察到与毒性相关的死亡。移植后100天的III–IV级急性GVHD 累积发生率为3.3%(95% CI:0.6 - 10%)。无患者发生重度急性GVHD,且无因急性GVHD 导致的死亡。移植后2年,中重度慢性GVHD累积发生率为7.2%(95% CI:2.2 - 16%),无患者发生重度慢性GVHD。如图A-C所示,移植后2年的OS、DFS 和GRFS 的 2 年概率分别为 71.0%(95% CI:59.0 - 85.5%)、67.9%(95% CI:54.8 - 84.1%)和 61.6%(95% CI:48.6 - 78.3%)。移植后2年累积复发率和NRM发生率分别为12.0%(95% CI:4.3 - 25%)和20%(95% CI:9.4 - 33%)(图D)。

研究结论
这项临床试验表明,年龄> 50 岁的AML患者接受 VFM 预处理方案移植后,可实现长期的良好预后。此外,VFM预处理移植后呈现较低GVHD发生率。
专家简介

罗依 教授
教授,医学博士,博士生导师
浙江大学医学院附属第一医院骨髓移植中心副主任;
浙江省551创新人才;
中华医学会血液学分会造血干细胞移植学组副组长;
浙江省医学会血液学分会常委;
浙江省抗癌协会血液肿瘤专业委员会委员。

朱盼盼
博士研究生
导师:罗依 教授