
精准选择静脉铁剂,护航围手术期贫血患者安全——姚宏伟教授解析PREVENTT研究发现特定铁剂相关性低磷血症的临床危害
大手术术前贫血发生率高达30%-60%,其带来的输血
风险增加、院内并发症增加、出院延迟等不良预后,严重影响患者术后康复。口服铁剂因胃肠道吸收限制、血红蛋白
提升较慢、胃肠道不良反应高发等原因,治疗外科贫血患者的效果不佳。静脉铁剂可快速改善患者的血红蛋白水平、功能状态和生活质量1,成为围手术期贫血患者的理想治疗选择。然而,各类研究及病例报道显示,静脉铁剂羧基麦芽糖铁(Ferric carboxymaltose,FCM)给药后低磷血症高发2-4。荟萃分析已经证实FCM治疗所致低磷血症发生率可达50%-92%,显著高于其他静脉铁剂(2%-8%)5-6。尤为重要的是,FCM导致的低磷血症可发生在任何接受FCM治疗的患者中,引发药源性疾病——6H综合征,即高成纤维细胞生长因子23(FGF23)、高磷尿、低血磷、维生素D
缺乏、低血钙及继发性甲状旁腺功能亢进
,影响患者生活质量,甚至导致骨软化症和骨折
6-7。目前,术前低磷血症对手术患者术后结局的影响备受关注。
近日,JAMA Network Open发表的一项重要研究为术前贫血管理与低磷血症的关联问题提供了关键解答。值此之际,医脉通特邀首都医科大学附属北京友谊医院姚宏伟教授深度解读该研究,并作出精彩点评,为临床医生处理术前贫血及低磷血症提供重要参考,最终改善手术患者的治疗结局。
FCM显著增加术前低磷血症风险,导致住院时间延长及存活且出院天数缩短
研究背景:静脉铁剂是治疗铁缺乏和缺铁性贫血
的常用药物,可实现快速补铁,是口服铁剂无效或不耐受患者以及临床上需要快速补铁患者(如围手术期、围产期患者等)的优选治疗药物8。然而,静脉铁剂FCM可通过FGF23介导低磷血症,且已有报道称其与骨软化症和骨折相关9。PREVENTT研究比较了静脉注射FCM与安慰剂在腹部大手术前治疗贫血的效果(n=487)。结果显示,FCM组干预后8周和6个月时血红蛋白水平显著更高,且因并发症再入院风险降低,但两组在输血、死亡或围手术期并发症等主要临床终点上无差异1。本研究旨在探讨PREVENTT研究中术前低磷血症的发生率,以及在接受FCM治疗的患者中,低磷血症是否影响患者或试验结局9。
研究方法:作为PREVENTT研究方案的一部分,于2014年1月6日至2018年9月28日期间,在随机分组时(n=421)和手术当天(n=392)采集血样。低磷血症的定义为:正常(>0.8mmol/L)、轻度(0.65-0.8mmol/L)以及中度或重度(<0.65mmol/L)。此外,对FCM队列中的患者数据进行探索性分析,描述根据磷酸盐水平(<0.65mmol/L与≥0.65mmol/L)划分的基线特征和关键研究结果的差异9。
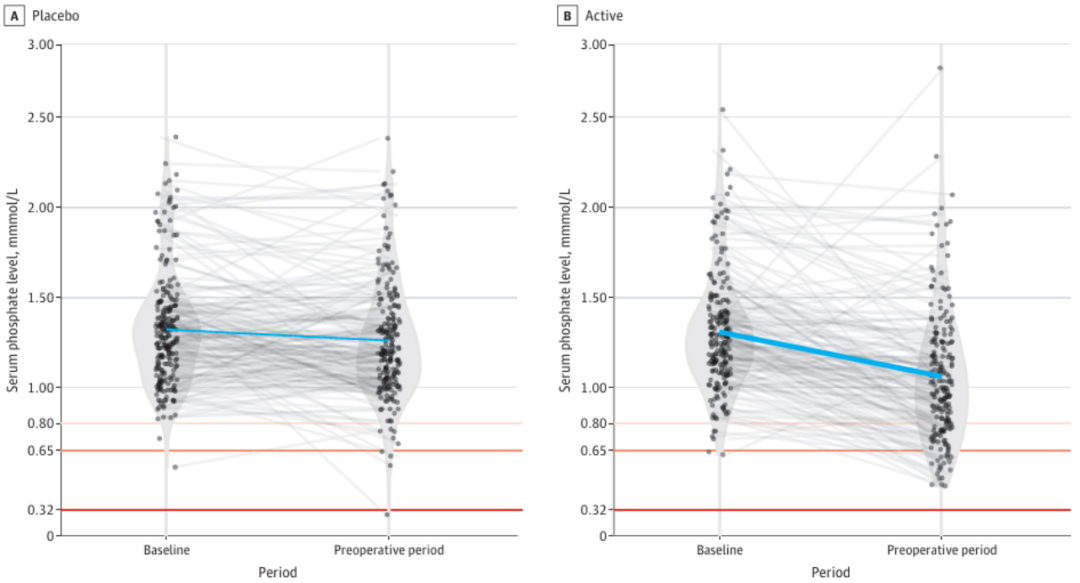
研究结果:在PREVENTT研究中,腹部大手术前静脉注射FCM(中位时间为术前14天),显著降低了术前血清磷酸盐水平(-0.21mmol/L;P<0.001,图1),而且这与完整的FGF23(iFGF23)水平升高相关(平均差异为30.3pg/mL;P<0.001)。

图1 安慰剂组和FCM组从基线到术前血清磷酸盐水平变化
与安慰剂组(4.5%,9/198)相比,接受FCM治疗的患者更容易发生低磷血症(<0.8mmol/L)(26%,51/194)(OR:9.22;P<0.001)。未发现患者特征与FCM导致的低磷血症风险增加相关(表1)。FCM诱导的低磷血症与中位住院时间延长(12天 vs 9天;P=0.01)以及中位存活且出院天数缩短(19天 vs 22天;P=0.02)相关(表1)。对FCM队列的二次分析表明,FCM诱导的中度或重度低磷血症(20/194)与术后不良事件发生率增加相关:55%(11/20) vs 26%(44/174),P=0.0089。
表1 FCM组中发生与未发生低磷血症(<0.65mmol/L)患者结局比较

研究结论:在PREVENTT研究中,随机分配至FCM组的患者术前低磷血症风险增加9倍,且与住院时间延长和存活且出院天数缩短相关。然而,PREVENTT研究通过Clavien-Dindo分级评估并发症,未常规记录磷酸盐水平。因此,与其他静脉铁剂相关研究类似,本研究的局限性在于不良事件监测可能缺乏足够的细致度,以检测低磷血症的症状,如肌肉无力或疼痛、疲劳或意识模糊,这些症状可能在大手术后被忽视或视为正常9。
精彩点评
姚宏伟教授
我在外科领域深耕多年,主要研究方向为胃癌
、结肠癌
、直肠癌
的腹腔镜
微创外科手术。术后加速康复(ERAS)一直是我重视的理念,也参与了多部ERAS相关指南的制定。术前贫血治疗10和术中器官保护及术后早期功能恢复等措施11-12是ERAS方案的重要环节,这些措施可以减少并发症、提升康复质量,对优化外科诊疗路径、实现快速康复目标至关重要。而静脉铁剂是术前贫血治疗的重要治疗药物。近日,发布在JAMA上的一篇关于成人铁缺乏的综述13指出:静脉注射FCM与低磷血症风险增加相关,且这种低磷血症可能持续存在,并伴有疲劳、抽筋和肌肉无力等症状。鉴于术前贫血治疗对术后加速康复的重要意义,以及静脉铁剂应用中低磷血症风险的客观存在,深入剖析贫血危害、治疗策略及低磷血症的临床应对措施,对优化外科诊疗、保障患者安全具有重要意义。
缺铁性贫血是一个全球性的重大健康问题,其常见病因包括营养不良
、失血、铁吸收障碍或持续性炎症5。此外,贫血在手术前患者中也比较常见。研究显示,普通外科择期手术患者的术前贫血发生率为30.36%14,老年肝胆疾病患者术前贫血发生率甚至高达58.44%15。贫血可使机体处于缺氧状态,影响人体组织器官的功能和机体的抗感染能力14,且对患者术后发病率、死亡率、再入院率以及住院时长产生不利影响16。因此,临床中应及时有效地处理术前贫血。
在贫血的治疗方面,与口服铁剂相比,静脉铁剂具有吸收率高、起效快、无胃肠道刺激等优点,可快速持久地维持围手术期贫血患者的血红蛋白水平,已成为围手术期患者血液管理的重要组成部分17。然而,特定静脉铁剂会导致低磷血症,给患者带来安全隐患。一项纳入11700例使用静脉铁剂患者的汇总分析18结果显示,FCM导致的低磷血症发生率显著高于异麦芽糖酐铁
(47% vs 4%;P<0.001)。在上述详细分析的PREVENTT研究中,随机分配至FCM组的患者术前低磷血症风险增加9倍,且与住院时间延长和存活且出院天数缩短相关9。此外,研究表明,FCM导致的低磷血症也可能会引发骨软化症及骨折。一项研究检索了PubMed和Web of Science数据库中静脉铁剂引起的低磷血症的病例报告文献,共检索到77篇符合条件的病例报告,结果发现,全部为输注FCM相关病例,其中“伴有骨折的骨软化症”占有症状患者的77.3%19。
大手术后患者低磷血症高发,其发生率在普通外科重症监护人群中为44.8%,在重大肝脏手术患者中达67%20。不仅如此,低磷血症还会增加患者术后并发症风险。一项纳入8034例胃肠手术患者的回顾性研究21显示,早期术后持续低磷血症与器官特异性并发症(包括吻合口漏、瘘、腹腔脓肿等)的发生相关。此外,研究显示,ICU入院时的低磷血症与更长的ICU住院时间和机械通气
时间相关22。而纠正低磷血症,可为手术患者带来诸多益处。一项回顾性研究23分析了3893例接受腹部大手术患者的围手术期血磷水平,结果显示,术后血磷每升高1mg/dL,住院费用减少702.5美元,住院时间缩短3.4天。因此,临床医生需高度重视围手术期低磷血症风险,尤其警惕FCM所致低磷血症带来的额外风险,做到早期识别与干预,以降低患者不良预后风险。
针对FGF23介导的低磷血症,目前尚无统一的诊疗共识。DeFICIT研究5曾针对围手术期患者使用FCM时的磷酸盐补充效果展开探索,发现围手术期口服补充磷酸盐并不能预防FCM诱导的低磷血症。而静脉铁剂临床应用和药学监护专家共识(2024)24则进一步明确了临床管理原则:强调静脉铁剂相关低磷血症的预防重于治疗,无症状轻度病例可密切观察;由于补充磷酸盐效果有限且可能增加尿磷
排泄,不推荐常规使用;若发生低磷血症,建议停止可疑静脉铁剂治疗(如FCM),换用低磷血症发生率更低的静脉铁剂(如异麦芽糖酐铁),并针对性治疗继发性甲状旁腺功能亢进。此外,美国静脉铁剂使用、配方、给药以及不良反应处理专家共识指南25建议:无论有无临床症状,使用FCM治疗后均应进行血磷监测;据美国食品药品监督管理局(FDA)收集的不良反应事件报告的数据库统计显示,2014-2023年共有FCM相关低磷血症报告1270例,FCM相关的严重(主要与死亡、危及生命的并发症或住院有关)低磷血症病例的报告数量从2014年的10例每年增加到2023年的244例6。美国乔治城大学医学院的Auerbach教授和威尔康奈尔医学中心肾内科的Wolf教授同时呼吁医生应该明确FCM相关低磷血症的高风险,建议所有患者治疗前后监测血磷26。FDA批准的FCM说明书规定,对于需要重复使用FCM且存在低磷血症高风险患者,临床医生应监测其血清磷酸盐水平6,27。中国获批的FCM药品说明书28提示,在治疗过程中,如果患者出现疲劳加重、肌痛或骨痛,需及时就医,且专家建议,需要重复剂量给药的患者应避免使用FCM7。综上所述,对于静脉铁剂导致的低磷血症,临床医生应高度重视,并及时诊断和个体化处理。
展望未来,随着静脉铁剂的应用增加及仿制药的上市,低磷血症相关临床问题可能加剧。在接受大手术的患者中,FCM诱导的低磷血症可能有症状,并且会延长住院时间9,需引起临床医生重视,尤其需要关注反复失血或者因吸收不良需要长期/多次静脉补铁、慢性肾病
、炎症性肠病
、术后等低磷血症高风险患者29。未来,需要开展更多前瞻性、多中心的临床研究,进一步明确静脉铁剂相关低磷血症的发病机制、高危人群特征及最佳监测频率,从而优化包括风险评估、预防性干预及症状管理在内的全流程诊疗策略,最终改善患者的临床结局。
专家简介

姚宏伟 教授
首都医科大学附属北京友谊医院(国家消化临床医学研究中心)普通外科
胃肠外科主任,主任医师/教授/博士生导师
中华医学会外科学分会-结直肠外科学组 学组委员兼秘书
中华结直肠外科学院 秘书长
中国研究型医院学会 结直肠外科专委会 副主委
美国结直肠外科医师学会 荣誉会员( Honorary Fellow,ASCRS)
欧洲结直肠病学会-全球影响力委员会 委员(Global Reach Committee,ESCP)
国际多中心COLOR IV, 研究主管(Study chair, COLOR IV, an international RCT trial)
《中华外科杂志》,《中国实用外科杂志》,《中华胃肠外科杂志》,《中华消化外科杂志》编委
《Disease of Colon & Rectum》杂志编委,《Ann Surg》《Surg Endosc》杂志审稿专家