
6·1儿童节特辑|一文盘点儿童TD药物治疗!芍麻止痉颗粒获多项循证支持
目前,抽动障碍
(TD)已经影响了中国2.5%的6~16岁儿童[1],据估算我国大约有1000万儿童和青少年TD患者[2]。作为一种起病于儿童时期的神经发育障碍性疾病,TD以运动性或发声性抽动为主要特征。包括Tourette综合征(TS)在内的TD常共患其他精神障碍
,如注意缺陷与多动障碍、强迫障碍等,给患儿的社会功能及生活质量造成了明显损害[3]。只有近一半的TD患儿能在成年期后完全缓解,20%患儿的抽动症状可能延续到成年期或终生[4]。
当TD影响日常生活、学校和社会活动,或心理行为治疗无效时,往往需要药物干预。TD的药物治疗分多个阶段进行,疗程通常为1~2年。如果在治疗过程中病情反复或加重, 则须返回上一阶段或从头开始恢复治疗。一线治疗药物是硫必利
、阿立哌唑
、可乐定
透皮贴片等,二线药物是氟哌啶醇
、利培酮
、托吡酯
等[5]。
表1 儿童TD的药物治疗方案

然而在实际诊疗过程中,当儿科医生向家长表明治疗方案中常使用抗精神病药物
时,家长们往往对此类药物的潜在副作用(如头晕、体重增加、认知、睡眠等影响)存在顾虑和担忧。(参考:NCCPS 2024抽动“士”谈|杨琳教授:加强关注TD患病,中药有力赋能临床治疗)
除了西医治疗外,中医治疗因在TD方面疗效确切,还可以减少西药用量和服药时间,尤其是神经和精神类不良反应较低,而被家长们广泛接受。
TD中医药治疗方案获国内外多部权威指南共同推荐
中医将抽动障碍归类为“肝风”范畴,认为其是由阳气亢盛、阴虚以及外风扰动所致。中医认为这种疾病的复杂多变症状和反复发作的特性与风邪和痰邪的致病特征相符[6]。在国内,芍麻止痉颗粒
等作为一线中成药,可以单独用于治疗TD,临床经验亦不断增多[2]。
芍麻止痉颗粒于2019年12月获批上市,是我国中医泰斗潜心15年研制的经验方。作为首个进入欧美抽动障碍指南的儿童创新中成药,芍麻止痉颗粒获得了临床医生的广泛认可和一系列权威指南共识的推荐(表2)[7, 8, 9]。
表2 国内外权威指南共识推荐芍麻止痉颗粒用于抽动障碍治疗

芍麻止痉颗粒对TD的治疗作用已获多项循证证据支持
此前,已有多项循证证据证实,芍麻止痉颗粒在TD治疗中发挥积极作用。
III期临床数据证实芍麻止痉颗粒与抽动障碍指南一线药物等效
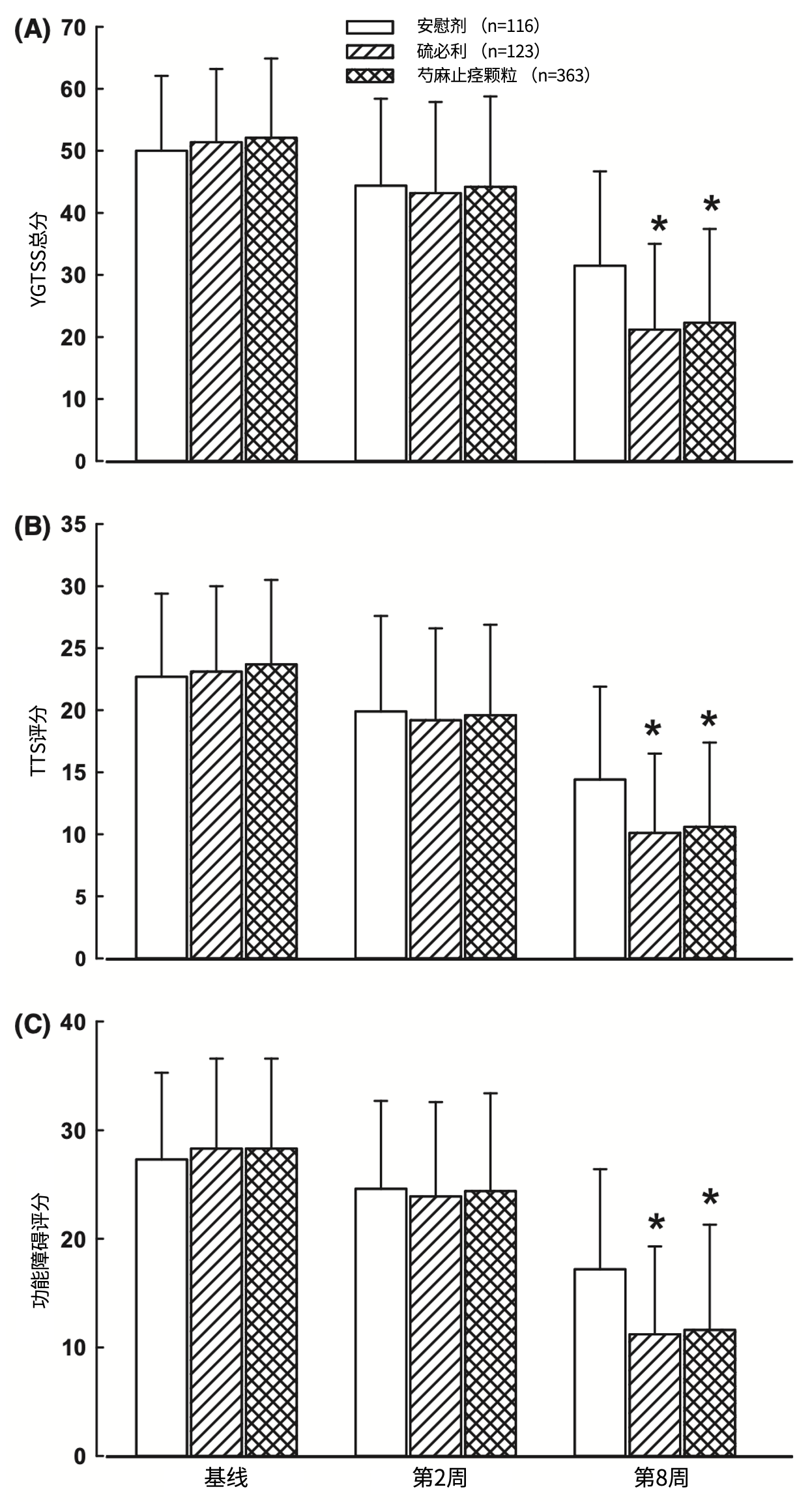
2016年公布的芍麻止痉颗粒III期临床试验(2020 IF=8.982,Q1)[10],共纳入5~18周岁、诊断为TS至少1年且表现为中重度症状(耶鲁综合抽动严重程度量表[YGTSS]总分30)的患者共603名,随机分为安慰剂组(n=117)、硫必利组(n=123)和芍麻止痉颗粒组(n=363),治疗8周。
研究结果表明,芍麻止痉颗粒组在终点时的YGTSS总分及亚量表(总抽动评分[TTS]和功能障碍)评分改善方面与硫必利等效(图1),且临床缓解率更高(74% vs. 68.3%)。值得一提的是,安慰剂组与芍麻止痉颗粒组总体不良事件发生率(11.2% vs. 13.8%)显著低于硫必利组(26.0%,p=0.002),特别是身体疲劳、头晕和睡眠障碍
等不良反应(图2)。由此可见,芍麻止痉颗粒在改善抽动症状方面与硫必利疗效相当,且安全性更优,可作为TS一种安全有效的治疗方案。

图1 对TS患者的治疗效果在基线、第2周和第8周时进行评估
(数据以均值±标准差的形式呈现,与安慰剂组相比,*p<0.0
系统综述表明芍麻止痉颗粒的药对成分及其作用机制
中药复方制剂的核心在于中药“药对”,一般由两种中药组成,是中医临床常用的固定形式,也是中药复方配伍规律研究的基础和重要切入点之一。
2024年,一项发表在Phytomedicine的系统综述(IF=6.7,Q1)[11]采用科学计量学的分析方法,旨在探讨芍麻止痉颗粒的药对和主要成分的作用机制。该研究使用“Tourette syndrome”、“芍麻止痉颗粒”及其主要成分同义词为检索关键词,检索并纳入5039篇研究论文与综述性文章、54项专利文献,采用文献计量软件进行可视化图谱分析。
研究结果显示,与TS相关的研究和国际合作日益增多。目前研究显示抑制-兴奋信号在皮质-纹状体-丘脑-皮质环路(CSTC)中的失衡是产生抽动和相关症状的分子机制,其中,中枢神经系统递质病变与TS发病关系最为密切,尤其是多巴胺
系统功能异常。针对中药复方治疗TS的专利,包括白芍、天麻、石菖蒲及钩藤等是应用最多的天然药物(图2) 。

图2 各中药成分在专利中出现的频率一览
芍麻止痉颗粒是由白芍、天麻、蒺藜、钩藤、灵芝、首乌藤、酸枣仁、五味子、栀子、胆南星
、黄芩共11味药材组成。天麻和钩藤作为治疗TS的经典药对,主要作用于多巴胺系统来减轻抽动症状。此外,TS与睡眠障碍也紧密相关,而酸枣仁和五味子二者联用可有效改善睡眠。因此,芍麻止痉颗粒的作用机制包括调节多巴胺系统和神经递质失衡、减轻神经炎症、促进神经损伤修复及改善睡眠障碍等。这为芍麻止痉颗粒治疗TS的可及性和临床应用做了铺垫。
2025年,TD治疗再添新证
最新临床研究再次证明芍麻止痉颗粒的临床疗效
Frontiers in Pediatrics于今年三月份发表了的一篇随机对照研究[6],纳入80例5~18周岁的儿童抽动障碍患者,随机分为芍麻止痉颗粒组(n=40)和硫必利组(n=40),观察8周,旨在评估芍麻止痉颗粒治疗儿童TD的临床疗效及其对血浆神经递质的影响。
研究结果显示,两组患儿YGTSS评分及中医证候评分均显著下降,芍麻止痉颗粒组总有效率高于硫必利组(90% vs. 80%),且不良反应发生率显著低于硫必利组(2.5% vs. 15%)(图3)。

图3 芍麻止痉颗粒组与硫必利组治疗前后YGTSS(x ± s;ns,无统计学差异)
在神经递质调节方面,芍麻止痉颗粒组在降低多巴胺、去甲肾上腺素
、肾上腺素及升高γ-氨基丁酸方面效果更优(图4)。

图4 芍麻止痉颗粒组与硫必利组治疗前后神经递质水平的比较(x ± s)
有鉴于此,中医虽是以疾病不同的证候和阶段来辨证施治,但与西医一样,仍是以症状控制与功能改善为共同目标。以芍麻止痉颗粒为例,可能通过调节多巴胺能系统、神经递质稳态重建等机制,不仅在核心症状缓解和安全性方面具有临床优势,还能缓解家长对传统抗精神病药不良反应的担忧,是儿童TD治疗的科学选择。
结语
在抽动障碍的临床实践中,规范化诊疗体系始终以患儿为中心,通过个体化治疗策略的精准实施和长期管理,为改善疾病预后和提升患儿生活质量提供持续动力。芍麻止痉颗粒作为儿童TD治疗的一线中成药物,于2023年入选《新时代中医药标志性科技成果(2012-2022)》,其研究成果也验证了现代医疗实践对传统医学的循证支持。
抽动障碍并非“坏习惯”,而是亟待科学干预的神经系统疾病。以循证之光驱散疾病阴霾,以规范化诊疗守护纯真笑颜——我们相信,每个孩子都是“可治可愈”的,每个孩子都能拥抱无碍成长的明天!