
ASCO·华章|李俊杰教授:TQB2102——双抗ADC新辅助治疗研究为HER2阳性乳腺癌治疗带来新突破
2025 美国临床肿瘤学会(ASCO)年会于5月30日至6月3日在美国芝加哥盛大召开。作为全球肿瘤学领域极具规模、学术影响力和权威性的国际会议,本届ASCO年会汇聚了肿瘤学前沿的最新研究成果与创新理念,为临床医生和科研学者搭建起一座通往学术新天地的桥梁。
本届ASCO年会上,复旦大学附属肿瘤医院邵志敏教授团队关于新一代双抗抗体药物偶联物(ADC)TQB2102新辅助治疗局部晚期或早期人表皮生长因子受体2(HER2)阳性乳腺癌
女性患者的研究以壁报形式公布,为双抗ADC在乳腺癌中的应用提供了重要的科学依据和临床参考。医脉通特别邀请李俊杰教授分享该研究结果,并深入探讨HER2阳性乳腺癌临床实践的挑战及未来研究方向。
医脉通:您和团队开展的“评估TQB2102新辅助治疗局部晚期或早期HER2阳性乳腺癌女性患者疗效和安全性的随机、开放标签、多中心、II 期研究”被收录于今年ASCO壁报部分,能否请您介绍该研究的设计初衷和思路?
李俊杰教授:
HER2阳性乳腺癌的新辅助治疗领域一直是学界关注的重点,目前已有多种药物相继在此领域展开深入研究并应用于临床,为患者提供了更多治疗选择。本届ASCO年会上,我们公布了这项由邵志敏教授牵头,在全国多中心开展的II期临床试验的最新数据。该研究探索了在局部晚期或早期HER2阳性乳腺癌使用TQB2102新辅助治疗的疗效与安全性。TQB2102作为我国自主研发的创新型ADC,在HER2阳性乳腺癌新辅助治疗领域迈出了关键一步,其临床数据的发布为双抗ADC药物的开发与应用提供了新的视角。
TQB2102具有独特的双靶点结合特性,可同时靶向曲妥珠单抗
和帕妥珠单抗
的结合位点(非重叠表位ECD2和ECD4),并搭载强效的细胞毒性有效载荷(payload),对肿瘤细胞具有更强的结合、内化效率和杀伤作用。在HER2阳性乳腺癌新辅助传统治疗方案中,双化疗联合双靶治疗(紫杉类+卡铂
+曲妥珠单抗+帕妥珠单抗)的病理完全缓解(pCR)率约为60%,而单抗ADC的pCR在63%左右。基于TQB2102在I期研究中展现出的优异数据,我们决定开展这项II期研究。
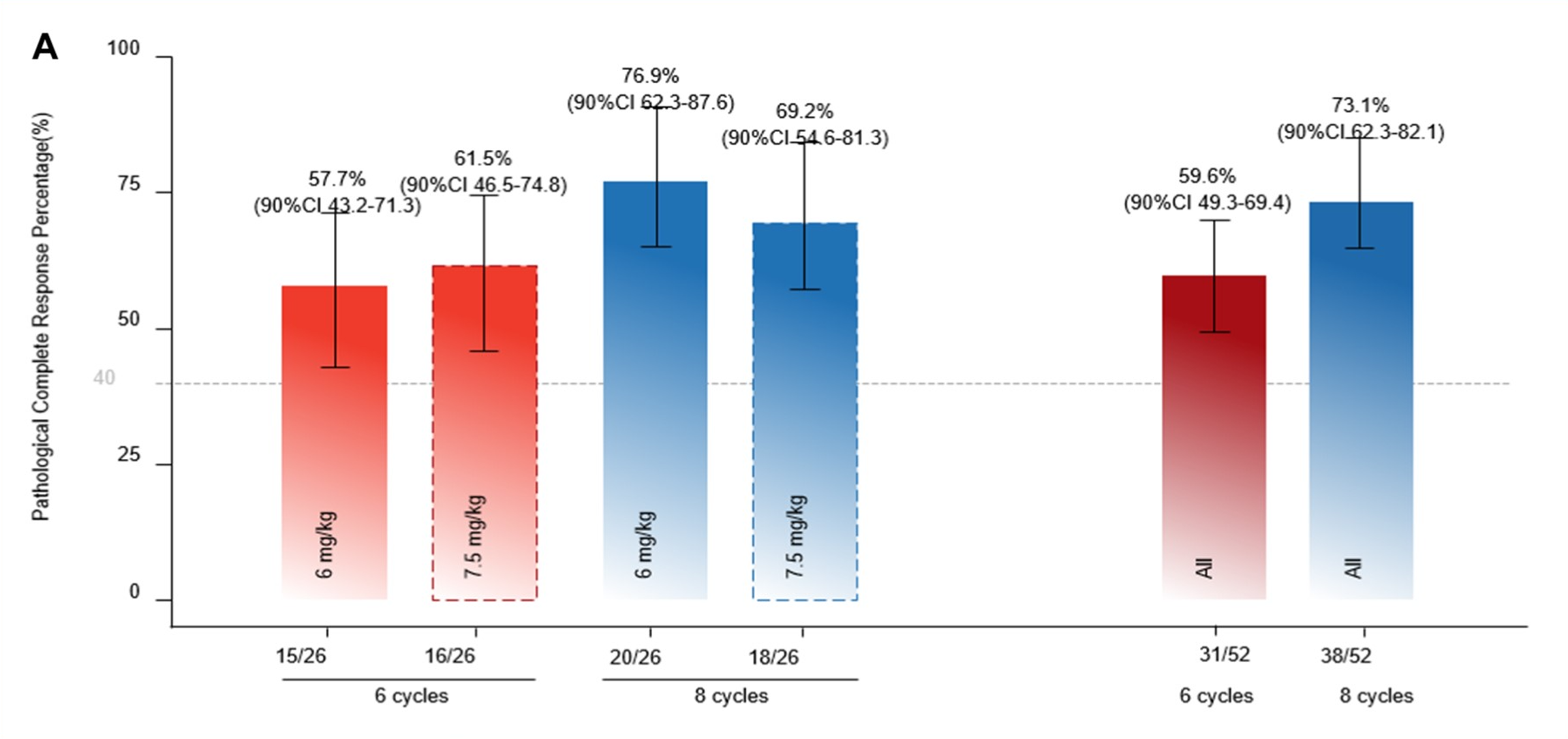
在研究设计方面,我们先纳入了6mg/kg剂量组,分别设置6周期和8周期两个亚组,每个亚组包含26例患者;随后开展7.5mg/kg剂量组,同样设置两个6或8周期亚组。研究总计纳入104例HER2阳性乳腺癌患者。

图1. 研究设计
研究结果令人振奋:在HER2阳性乳腺癌患者中,TQB2102单药8周期的总体pCR达到了73.1%,其中三阳性患者为61.5%,而激素受体(HR)阴性/HER2阳性患者达76.9%。此外,研究显示TQB2102具有良好的安全性,提示其在临床应用中具有更广泛的前景。

图2. 6mg/kg剂量组与7.5mg/kg剂量组接受6/8周期治疗的pCR结果

图3. 根据HR状态划分的pCR结果
基于该研究的积极结果,由邵志敏教授牵头,我们已启动全国多中心的III期临床试验,将进一步评估TQB2102相较于传统的双化疗联合双靶向治疗方案是否更具优势,并探讨其是否能够改变现有的临床实践。
医脉通:在临床实践中,HER2靶向治疗药物(包括单抗、双抗及ADC药物)的应用策略日趋多元化。随着这些药物在治疗线序中的前移,若患者出现早期耐药,后线治疗方案的选择将面临哪些挑战?这一现象对未来的临床治疗策略和药物研发方向将产生怎样的影响?
李俊杰教授:
在肿瘤治疗领域,药物研发和临床应用是一个不断迭代优化的过程。我的观点是,新药的开发和应用应该遵循“从晚期到早期”的渐进策略:先在晚期患者中验证疗效,逐步推进到晚期一线治疗、辅助治疗,最后到新辅助治疗。当一种药物在晚期治疗中获批适应证后,应考虑其在早期阶段的布局,这样可以为后续新药物在晚期治疗中留出进一步探索的空间。
以HER2靶向治疗为例,曲妥珠单抗和帕妥珠单抗在晚期治疗中取得成功后,逐步向新辅助和辅助治疗推进。这自然引发了一个问题:对于在新辅助或辅助治疗阶段已经使用过这些药物的患者,晚期一线治疗该如何选择?
今年的ASCO会议上公布的DESTINY-Breast09研究给出了一个令人鼓舞的答案:新一代ADC药物联合帕妥珠单抗展现出了优异的疗效。这正体现了我们不断推陈出新、开展临床研究的重要意义。面对早期耐药这一挑战,我们需要深入理解耐药机制,开发新一代靶向药物,探索不同作用机制药物的联合应用策略,建立精准的分子分型体系,实现个体化治疗,优化治疗线序,最大化每种药物的临床价值。
医脉通:基于目前的疗效和安全性数据,未来有哪些研究方向值得探索和关注?
李俊杰教授:
展望未来,HER2阳性乳腺癌的治疗研究将沿着多个维度深入展开。首先,我们需要以ADC药物为核心,优化治疗策略,探索ADC药物与免疫治疗的联合应用,评估双抗ADC在不同分子亚型中的疗效,研究ADC药物在特殊人群中的应用等。
其次,当前时代中,如何为患者选择更为适合的药物也是一个重点议题,需要我们深化精准治疗策略,开发更精准的生物标志物预测体系,建立个体化的剂量调整方案,探索动态监测指导下的治疗策略。同时,我们还需要优化治疗终点,例如实现pCR和无事件生存期(EFS)的双重提升,探索新的疗效评价指标,关注长期生活质量和功能保护。
此外,临床研究的转化不仅需要药物研发团队持续创新,更需要临床医生积极参与,通过精心设计的临床试验,加速创新成果向临床实践的转化。
总的来说,HER2阳性乳腺癌的治疗领域充满了机遇和挑战。我相信,通过不断的创新和努力,我们能够为患者带来更好的治疗效果和生活质量。

编辑:Kang Wang