Advances in Therapy丨奥布替尼治疗CLL/SLL的真实世界研究:疗效与安全性的双重验证

来源: 2025.09.30
我要投稿

慢性淋巴细胞白血病(CLL)/小淋巴细胞淋巴瘤(SLL)是成人中最常见的白血病类型之一,属于B细胞血液系统恶性肿瘤,以外周血中特征性克隆性B淋巴细胞(形态接近正常成熟小淋巴细胞)持续浸润为核心特征,可伴骨髓、淋巴结、肝脾受累。该病多发生于老年人群,病程进展差异显著,部分患者可长期无症状,部分则快速进展至晚期。CLL是欧美国家最常见的白血病(占新发白血病的25%~30%),中位发病年龄70岁,男性略多于女性;数据显示,中国CLL发病中位年龄为65岁,81.1%的中国CLL患者位于51~80岁年龄间[1-3]。在过去十年中,随着靶向治疗的发展,CLL的治疗模式发生了显著变化[4]


北京协和医院周道斌教授及张薇教授团队发起的一项单中心临床研究,评估了真实世界中,奥布替尼治疗CLL/SLL的疗效及安全性,尤其是针对既往接受过其他BTK抑制剂治疗的患者。相关文章发表在《Advances in Therapy》(IF=4.0)杂志。医脉通现将研究内容整理如下,以飨读者。


研究背景


现阶段,一代BTK抑制剂因脱靶效应和多激酶抑制作用,或增加房颤(AF)、心力衰竭、出血及高血压的发生风险[5-7]。奥布替尼是一种新型不可逆BTK抑制剂,具有两大核心优势:一是高靶向选择性[8],对BTK的半数抑制浓度(IC50)仅1.6nM,对其他酪氨酸激酶的脱靶抑制显著更低;二是初步临床数据优异,在复发/难治性CLL/SLL中,单药治疗的客观缓解率(ORR)约93%,完全缓解(CR)率达21.3%,且安全性良好[9]。因此,兼具良好疗效与安全性的创新药物成为领域专家关注的焦点。


研究方法


本研究为回顾性真实世界研究[10],纳入2018年6月1日至2024年9月30日期间在北京协和医院接受奥布替尼治疗的63例CLL/SLL患者。纳入标准涵盖初治患者,以及因疾病进展或不耐受不良反应而停用既往治疗的患者。治疗方案方面,奥布替尼常规剂量为150mg/d PO,医生根据患者情况决定采用单药治疗或联合治疗(如联合利妥昔单抗维奈克拉奥妥珠单抗等);存在合并症的患者初始剂量可酌情调整。若出现≥3级不可控不良反应,最多暂停治疗28天,若毒性持续则永久停药。


研究终点包括ORR、疾病控制率(DCR)、无进展生存(PFS)、总生存(OS)以及依据NCI-CTCAE 5.0版评估的安全性。


研究结果


该研究入组了63例患者,男性41例(65.1%),中位年龄69岁(35-89岁),71.4%的患者为Rai Ⅱ-Ⅳ期,49.2%的患者既往接受过伊布替尼/泽布替尼治疗,58.7%的患者合并至少一种基础疾病(如高血压28.6%、糖尿病20.6%、冠心病11.1%)。中位随访时间72个月(24~216个月)。


整体疗效:全人群ORR达90.5%(57/63,95%CI:80.4-96.4),DCR高达96.8%(61/63,95%CI:89.0-99.6),其中55.6%的患者实现CR,34.9%的患者实现PR。


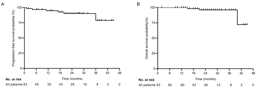
ab445fe1443212b14e799342f86ba0a4.png

图示:全人群的PFS及OS


按治疗线分层:一线治疗ORR为94.4%(17/18),二线治疗ORR为93.9%(31/33),三线治疗ORR为75.0%(9/12),即使是三线患者,DCR仍达91.7%,体现跨线治疗价值。


生存数据:中位PFS与OS均未达到,36个月PFS率78.9%,36个月OS率96.2%,长期获益显著。


既往BTK抑制剂暴露患者:31例既往使用伊布替尼/泽布替尼治疗的患者中,ORR为83.9%、DCR为96.8%;更关键的是,19.4%既往仅达疾病稳定(SD)的患者换用奥布替尼后缓解状态提升至部分缓解(PR),耐药/不耐受患者仍能获益。


1c65ec1f355e3f29f48927462d5c39eb.png

图示:既往使用过伊布替尼/泽布替尼后不耐受改用奥布替尼的患者疗效情况


全人群中仅23.8%(15/63)的患者出现任何级别的不良反应(AE),且均为1-2级,无≥3级AE或治疗相关死亡。最常见AE为出血(6.3%),其余如皮疹肺炎、血小板减少等发生率均≤5%。尤其值得注意的是,既往使用伊布替尼/泽布替尼治疗的患者中,87.1%曾出现AE(含6例≥3级AE,占该亚组患者的19.4%),换用奥布替尼后,AE发生率降至65.2%,且无≥3级的AE,原有AE多缓解或严重程度降低,证实奥布替尼的良好安全性。


对现有CLL治疗的积极意义


1.填补真实世界证据空白:该研究提供了国内首次报道的大样本、长期随访证据全文,证实奥布替尼在真实临床场景(纳入晚期、合并症多、既往BTK抑制剂暴露的患者)中的疗效与安全性,打破了“临床研究数据优于真实世界数据”的顾虑,为临床用药提供可靠依据。


2.突破耐药/不耐受困境:对于既往使用伊布替尼/泽布替尼治疗不耐受的患者,奥布替尼仍能实现83.9%的ORR,且可将部分患者的缓解状态从PR/SD提升至CR,为这一“后线群体”提供了新的治疗选择。


3.提升治疗安全性与依从性:奥布替尼治疗期间未发生严重AE,且能改善既往BTK抑制剂治疗引发的心脏毒性、出血等问题,大幅降低治疗相关并发症风险,有助于患者长期坚持治疗,进而提升生存获益。


4.指导中国临床实践:研究对象均为中国患者,数据更贴合国内CLL/SLL患者的疾病特征与治疗需求,为国内临床用药决策提供了关键的本土证据。


综上,该研究证实奥布替尼是CLL/SLL治疗兼具良好疗效和安全性的选择,尤其为复杂患者群体带来新希望,推动CLL治疗向“更高缓解率、更低毒性、更长生存”的目标迈进。


1759213743820065.png

王孜 主治医师

北京协和医院血液内科 主治医师

毕业于北京协和医学院临床八年制博士

清华大学公共卫生硕士(MPH)在读

曾赴美国芝加哥大学医院血液科访学

多次荣获院级优秀住院医师、协和医院优秀员工

工作期间发表多篇中英文论文


1759213755831782.png

张薇 教授

北京协和医院血液内科 主任医师 硕士研究生导师

中国抗癌协会血液肿瘤专业委员

中国免疫学会血液免疫分会委员

中国抗淋巴瘤联盟常委

CACA淋巴瘤整合康复专委会副主委

中国老年淋巴瘤学会青年委员

北京癌症防治学会淋巴瘤免疫治疗专业委员会主任委员

主持和参与多项面上、首都特色、北京自然科学基金

以第一或通讯作者撰写SCI及核心期刊杂志70余篇,参与编写《淋巴瘤》《协和血液病学》等著作

主要擅长淋巴瘤的诊断及治疗


1759213770615557.png

周道斌 教授

主任医师、博士生导师,北京协和医院血液科

中国医师协会血液科医师分会副会长

北京血液学分会主任委员

中国免疫学会血液免疫分会主任委员

中华医学会血液学分会常委

中国免疫学会理事

《中华血液学杂志》、《基础医学与临床》、《临床血液学杂志》等杂志编委。

主要专业领域:血液肿瘤、造血干细胞移植

参考文献
8.Zhang B, Zhao R, Liang R, et al. Abstract CT132: Orelabrutinib, a potent and selective Bruton\'s tyrosine kinase inhibitor with superior safety profile and excellent PK/PD properties. Cancer Res. 2020;80(16_Supplement):CT132-CT.