ZCR±CHOP方案一线治疗初治DE-DLBCL的II期临床研究:高CR率、良好安全性及ctDNA动态预测价值
DE-DLBCL的临床治疗一直面临严峻挑战,传统R-CHOP方案难以突破疗效瓶颈,亟需探索更有效的治疗策略。近年来,将BTKi与HDACi联合R-CHOP的新兴治疗策略,在临床前研究与临床试验中展现出协同增效作用。本研究深入探究ZCR±CHOP方案应用于DE-DLBCL一线治疗的临床价值。
作为一项多中心II期临床试验,研究旨在评估ZCR±CHOP方案在初治DE-DLBCL患者中的疗效与安全性,并探索循环肿瘤DNA(ctDNA)动态变化作为预测生物标志物的潜力,研究设计如图1所示。研究纳入了45例患者,于基线(C0)、第2周期后(C2)及治疗结束(EOT)阶段采集纵向血浆样本,借助下一代测序技术开展深度分析。主要终点为EOT时的完全缓解(CR)率。

图1 研究设计
2023年2月至2024年10月期间,共纳入45例患者,其中1例患者撤回同意并被排除分析,中位年龄54岁。最终EOT分析显示,CR率为81.8%,总缓解率(ORR)为86.3%,超过了DE-DLBCL中R-CHOP方案的历史结果。在C2阶段达到CR的所有患者在EOT时维持缓解状态。在C2阶段疗效评估为部分缓解(PR)或疾病稳定(SD)的22例患者,随后接受了ZCR联合CHOP方案治疗,其中77.3%的患者在EOT时达到了CR(图2)。
图2 入组患者桑基图
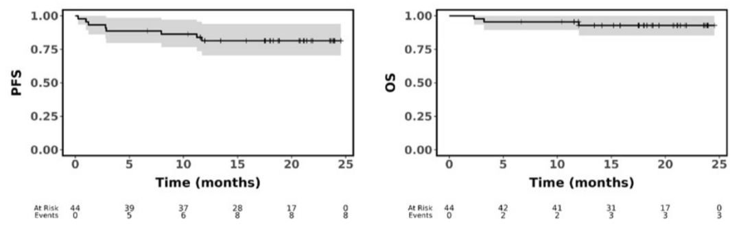
中位随访时间为18.8个月时,中位无进展生存期(PFS)和总生存期(OS)尚未达到。预估12个月时的PFS率和OS率分别为81.36%和92.8%,24个月时的PFS率和OS率分别为81.36%和92.8%(图3)。

图3 患者PFS(左)及OS(右)数据
分子分析层面,基线血浆中28例患者(n=28)的突变率为89%,其中MYD88(48%)、PIM1(28%)、SOCS1(28%)和BTG2(24%)的突变较为常见。KMT2A/BTG2突变与较高的IPI评分相关(p=0.017/0.038)。29例患者在C2后进行了ctDNA分析,结果显示达到CR患者的ctDNA阳性率较低(0% vs 41.7%,p=0.023),突变负荷减少(p=0.014),以及较低的最大变异等位基因频率(maxVAF,p=0.031)。C2时ctDNA的阳性率因治疗缓解情况的不同而有显著差异(p=0.022),如图4所示。
图4 C2时ctDNA的阳性率
安全性方面,ZCR±CHOP方案在整体人群以及两个治疗亚组中的安全性特征相似。≥3级血液学毒性主要为中性粒细胞减少、血小板减少等,非血液学事件包括肺炎
、转氨酶升高等,整体耐受性良好。
上述结果表明,ZCR±CHOP方案在初治DE-DLBCL患者中提升了CR率,安全性可控,同时明确了早期ctDNA清除可作为关键生物标志物,支持在未来的研究中进一步探索。研究成果为基于靶向诱导策略优化DE-DLBCL治疗、降低化疗强度提供了重要依据。
在DLBCL中,DE-DLBCL亚型因其独特生物学行为和不良预后备受关注。此类患者普遍表现为高龄、晚期Ann Arbor分期、较高的乳酸脱氢酶(LDH)水平、较高的Ki-67增殖指数以及较高的国际预后指数1,常规R-CHOP方案疗效不佳,5年PFS率和OS率分别为27%和30%,即使强化疗方案如DA-EPOCH-R方案亦未能显著改善其生存3。这一严峻现状迫使临床探索更有效的治疗策略。
在此背景下,表观遗传调控药物西达本胺展现出潜力。DEB研究证实,西达本胺联合方案较对照组显著提升24个月无事件生存期(EFS,p=0.018),CR率较对照组提升11.1%(p=0.014),且安全性可控4,为DE-DLBCL治疗提供了新方向。
在此基础上,ZCR±CHOP方案的II期临床研究进一步深化探索。该研究显示,初治DE-DLBCL患者经ZCR±CHOP治疗后,CR率高达81.8%,ORR为86.3%,超越历史R-CHOP数据。值得关注的是,早期达到CR的患者疗效持久,疗效评估为PR或SD患者经后续 ZCR联合CHOP治疗后,77.3%的患者可实现CR。同时,研究进行了ctDNA分析,治疗第2周期后达到CR患者的ctDNA阳性率、突变负荷及maxVAF均显著降低,提示早期ctDNA清除或可作为预测疗效的关键生物标志物。
ZCR±CHOP方案在初治DE-DLBCL中展现出了高缓解率和可控安全性,结合早期ctDNA清除的预测价值,有望进一步改善DE-DLBCL患者生存结局,推动该领域诊疗水平迈向新高度。
*CHOP:多柔比星
、环磷酰胺
、长春新碱
和泼尼松
;DA-EPOCH-R:剂量调整后的依托泊苷
、泼尼松、长春新碱、环磷酰胺、多柔比星、利妥昔单抗;
李志铭 教授
中山大学肿瘤防治中心内科 教授 主任医师 博士生导师
中国老年保健协会肿瘤免疫治疗专业委员会主任委员
广东省临床医学学会头颈肿瘤综合治疗专业委员会主任委员
广东省抗癌协会血液肿瘤专业委员会主任委员
中国临床肿瘤学会(CSCO)抗淋巴瘤联盟副秘书长、常委
中国抗癌协会淋巴瘤专业委员会常委
中国老年保健协会淋巴瘤专业委员会秘书长、常委
中国临床肿瘤学会(CSCO)头颈肿瘤专家委员会常委
中国抗癌协会青年理事会常务理事
中国医药教育协会淋巴瘤分会常委
中国抗癌协会神经肿瘤专业委员会中枢神经系统淋巴瘤
学组副组长
广东省中西医结合学会肿瘤免疫专业委员会副主任委员
广东省健康管理学会生育力保护专业委员会副主任委员
广东省抗癌协会化疗专业委员会常委
广东省临床医学学会咽喉肿瘤专业委员会常委
广东省精准医学应用学会淋巴瘤分会常委
广州抗癌协会淋巴瘤专业委员会副主任委员
孙鹏 教授
中山大学肿瘤防治中心内科 副主任医师,肿瘤学博士,硕士研究生导师
广东省医学会肿瘤内科学分会青委会副主任委员
中国老年保健协会肿瘤免疫治疗专业委员会常务委员
中国老年保健协会淋巴瘤专业委员委员
广东省抗癌协会淋巴瘤专业委员会委员
广东省医学学会头颈肿瘤综合治疗委员会秘书、常委
广东省保健协会免疫治疗分会委员
广东省预防医学会血液肿瘤专委会委员
广东省老年保健协会血液病专委会委员
《Journal of Clinical Oncology》中文版青年委员会委员
广东省基层医药学会肿瘤多学科综合诊治专业委员会常务委员
2018年度中国临床肿瘤学会(CSCO)35岁以下最具潜力青年肿瘤医师
2019年全国淋巴瘤MDT诊治大赛冠军成员
主持国家自然科学基金、广东省自然科学基金等多项课题
参考文献
1. Zhang M, et al. Front Immunol. 2025;16:1526318.
2. Zhi-Ming Li, et al. 2025 EHA PF922.
3. Chen X, et al. Ther Adv Hematol. 2024;15:20406207241292446.
4. Weili Zhao et al. JCO 42, LBA7003-LBA7003(2024).