
SLE管理不可忽视的一环:血脂监测如何指导临床用药与风险评估
系统性红斑狼疮
(SLE)临床表现多样,可累及肾脏、血液、心血管等全身多个系统。研究发现,SLE患者常伴随脂代谢异常,表现为总胆固醇(TC)、甘油三酯(TG)升高,高密度脂蛋白(HDL)降低,这种模式被称为“狼疮型脂质谱”。近年来,心血管疾病
已成为SLE患者死亡的重要原因之一。然而,关于血清脂质与SLE之间关联的血清学证据尚未得到充分评估。本文旨在明确SLE患者的血清脂质谱及其与疾病活动性、药物使用等因素的关系,对理解SLE的代谢机制和心血管风险具有重要意义。
研究采用病例-对照血清流行病学方法分析SLE患者的血清脂质谱,共纳入303名参与者,其中包括203名SLE患者(SLE组)和100名健康人群为对照(HC组)。
SLE患者纳入标准依据为2019年ACR/EULAR分类标准;研究收集了患者的基本信息、临床特征、实验室指标及用药情况,检测血清中TC、TG、HDL和低密度脂蛋白(LDL)水平并分析其与SLE疾病活动指数(SLEDAI)、免疫指标、脏器损伤等的相关性。此外,研究进一步纳入包括本研究在内的11项研究数据进行系统综述和荟萃分析,进一步验证脂质谱的变化趋势。
TC:SLE组为(4.60 ± 1.35)mmol/L,HCs为(4.21 ± 0.53)mmol/L (p < 0.05);
TG:SLE组为(1.52 ± 0.74)mmol/L,HCs为(0.88 ± 0.30)mmol/L (p < 0.0001);
HDL:SLE组为(1.31 ± 0.43)mmol/L,HCs为(1.37 ± 0.14)mmol/L (p < 0.001);
LDL在两组间无显著差异(表1,图1)。
多元回归分析显示,TC(OR = 103.83,p < 0.0001)和TG(OR = 19.44,p < 0.0001)是SLE的独立危险因素,HDL(OR = 0.004,p < 0.0001)和LDL(OR = 0.004,p < 0.0001)呈负相关(表1)。
表1:病例对照研究中系统性红斑狼疮患者和健康对照的血清脂质谱


图1:系统性红斑狼疮患者与健康对照组TC、TG、HDL和LDL浓度的比较
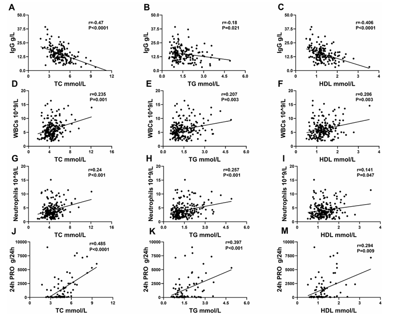
TC、TG和HDL与多项临床指标显著相关。
TC:与24小时尿蛋白定量(24h PRO)、白细胞计数(WBCs)、中性粒细胞计数呈正相关,与IgG呈负相关(表2,图2);
TG:与SLEDAI、血沉(ESR)、抗核抗体(ANA)滴度呈正相关(表2);
HDL:与C3、C4、淋巴细胞计数呈正相关,与SLEDAI、抗dsDNA抗体、抗C1q抗体呈负相关(表2)。在合并多器官损伤的患者中,HDL水平显著降低,涉及肾、肺、消化道、关节、血液系统和皮肤损伤(p < 0.05)。
表2:系统性红斑狼疮住院患者的血清脂质与临床特征相关性研究


图2:系统性红斑狼疮患者血清脂质与IgG、白细胞、嗜中性粒细胞及24小时尿蛋白相关性分析
药物使用方面:使用糖皮质激素
(GCs)的患者TC(β = 0.214,p = 0.004)和LDL(β = 0.253,p = 0.001)显著升高;而使用羟氯喹
(HCQ)的患者HDL显著升高(β = 0.213,p = 0.004)(表3)。性别方面,男性SLE患者的LDL水平显著高于女性(β = 0.160,p = 0.022)(表3)。
表3:系统性红斑狼疮患者血清脂质谱与性别、年龄、疾病持续时间及用药的独立关系多元线性回归分析

研究结果显示,SLE患者的TC(MD = 0.85,95% CI 0.82–0.89,p < 0.00001)和TG(MD = 0.96,95% CI 0.94–0.99,p < 0.00001)显著升高,HDL显著降低(MD = -0.19,95% CI -0.20–-0.17,p < 0.00001)(图3)。
亚组分析显示,排除心血管疾病的SLE患者中TC水平反而降低(MD = -0.34,95% CI -0.47–-0.21,p < 0.00001),提示心血管并发症对脂质谱有显著影响。

图3:系统性红斑狼疮患者血清脂质谱Meta分析中的森林图
SLE患者呈现显著的血脂谱异常,特征性表现为TC和TG水平升高,HDL水平降低。这些改变与疾病活动性、免疫指标异常、脏器损伤及用药情况密切相关。值得注意的是,HDL降低与多器官损伤及自身抗体水平升高显著相关,提示其在SLE病程中可能发挥保护性作用。GCs的使用可加重脂质紊乱,而HCQ则有助于改善HDL水平。荟萃分析结果进一步验证了SLE患者血脂谱的异常模式,再次强调了对该人群进行血脂监测和心血管风险评估的重要性。
研究揭示了SLE患者脂质谱的显著异常及其与疾病活动性和多器官损伤的密切关系。TC和TG的升高可能与炎症状态下的脂代谢紊乱有关;HDL的降低则可能反映其在抗炎、抗氧化功能方面的受损。
研究表明,HDL不仅参与胆固醇逆转运,还具有抗炎、抗血栓、抗凋亡等多重功能。在SLE中,HDL可能转变为促炎表型,失去保护作用,进而促进动脉粥样硬化
的发生。本研究发现HDL降低与SLEDAI、抗dsDNA抗体、抗C1q抗体等疾病活动指标显著相关,提示HDL可能是反映SLE免疫炎症状态的重要标志物。此外,HDL与多器官损伤的负相关性进一步支持其在SLE病程中的保护作用。TC和TG的升高则主要与肾脏损伤、炎症反应相关,可能通过促进免疫复合物沉积、泡沫细胞形成等机制加重器官损伤。
药物方面,GCs的使用与TC和LDL升高密切相关,可能与GCs诱导胰岛素
抵抗、促进VLDL合成、抑制脂蛋白脂酶活性等机制有关。HCQ则通过抗炎、改善内皮功能、抑制NET形成等途径,可能对HDL产生保护作用。在SLE治疗中,合理使用HCQ不仅有助于控制疾病活动,也可能对脂质谱产生积极影响。
荟萃分析结果显示,排除心血管疾病的SLE患者TC水平反而降低,提示心血管并发症可能会掩盖SLE本身的脂质异常。因此,在评估SLE患者脂质谱时,需考虑合并症的影响。
综上所述,SLE患者的脂质谱异常与疾病活动性、免疫炎症状态及多器官损伤密切相关,血脂监测应成为SLE常规评估的一部分。未来研究应进一步探讨脂质代谢异常的机制,以及干预脂质谱对改善SLE预后的潜在价值。
参考文献:Xuan J, Deng C, Lu H, He Y, Zhang J, Zeng X, Sun Y, Chen S, Liu Y. Serum lipid profile in systemic lupus erythematosus. Front Immunol. 2025 Jan 14;15:1503434.
医脉通是专业的在线医生平台,“感知世界医学脉搏
,助力中国临床决策”是平台的使命。医脉通旗下拥有「临床指南」「用药参考」「医学文献王」「医知源」「e研通」「e脉播」等系列产品,全面满足医学工作者临床决策、获取新知及提升科研效率等方面的需求。仅供HCP观看。
