
研究者说|从《指导原则》看考格列汀研发上市之路
中国糖尿病患者不仅数量庞大,并且普遍存在血糖、共病及依从性不满意的现象,对糖尿病创新药物有着巨大需求,这也促进中国积极参与全球药物同步研发,以促进创新药物尽早进入到临床应用。2023年,国家药品监督管理局药品审评中心(CDE)发布《成人2型糖尿病
药物临床研发技术指导原则》[1](以下称“指导原则”),旨在鼓励2型糖尿病药物临床研发,进一步规范临床研究设计和相关技术要求。
纪立农
教授
北京大学人民医院内分泌科主任
“这项指导原则不仅是对过往研发经验的总结,更确立了‘以患者为中心、兼顾多重代谢异常、全生命周期管理’的核心研发理念,为中国降糖新药研发指明了科学方向。”
在该理念引领下,我国自主研发的新型二肽基肽酶-Ⅳ(DPP-4)抑制剂考格列汀
(商品名:倍长平),凭借独特的超长效结构设计与完整的循证证据链,走出了一条规范化创新之路,成为践行指导原则的典范,见证了中国创新药从“跟跑”到“领跑”的跨越。作为全球首款双周口服一次的DPP-4抑制剂,考格列汀的研发紧扣临床需求,针对2型糖尿病患者合并症多、需长期用药的特点,构建了覆盖全研发周期的科学证据体系,为临床精准治疗提供了有力支撑。



指导原则明确要求,降糖药物新药研发需“建立科学、严谨的整体研究计划”,以临床需求为导向,通过体外、体内药效动力学(PD)研究充分阐明药物作用机制和药理学特征,为后续临床研究奠定基础。考格列汀的研发从立项之初便严格遵循这一要求,以“开发安全性高、受众面广、服药便利性强的新一代超长效DPP-4抑制剂”为核心目标,形成了从机制验证到临床转化的系统性布局。
DPP-4抑制剂类药物的核心作用机制是抑制DPP-4的活性,增加胰高血糖素
样肽-1(GLP-1)和葡萄糖
依赖的促胰岛素
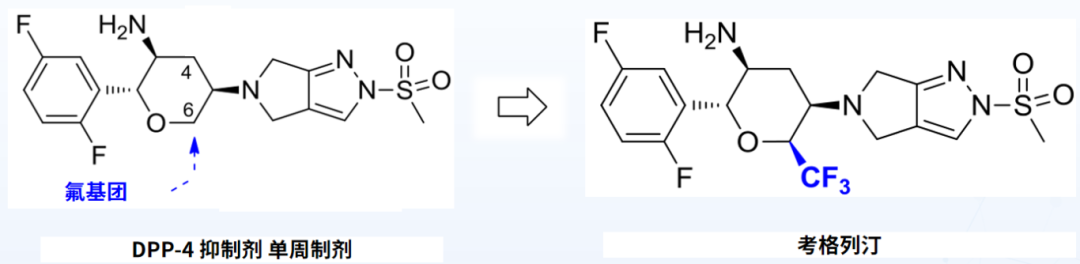
多肽(GIP)的水平,是以葡萄糖浓度依赖的方式促进胰岛素的分泌,抑制胰高血糖素的分泌,延迟胃排空,保护胰岛β细胞的功能,有助于控制高血糖。同时也是一种低血糖发生率低、安全性和耐受性良好的药物,可单独使用或与其他降血糖药物联合使用,契合指导原则中“安全、平稳降糖”的评价导向。为打造长效优势,研发团队在DPP-4抑制剂单周制剂四氢吡喃环上6位引入三氟甲基,借助氟原子高电负性、亲脂性的特性,增强药物代谢稳定性与膜渗透性,最终使考格列汀半衰期突破100小时,远超同类单周制剂奥格列汀(38.9h)与曲格列汀
(54.3h)。

图1:考格列汀创新分子结构:在DPP-4抑制剂单周制剂四氢吡喃环上6位引入三氟甲基
为验证这一机制与结构优势,研发团队率先开展了早期PD/PK研究,通过上市前研究,明确了考格列汀对DPP-4的强效抑制活性与优异药代动力学特征,证实其能持久抑制DPP-4酶,且在体内代谢稳定,为后续人体临床试验的剂量设计与双周给药方案制定提供了坚实依据。

图2:DPP-4抑制剂的降糖机制:以葡萄糖浓度依赖的方式降低血糖
纪立农 教授
北京大学人民医院内分泌科主任
“考格列汀的早期研发没有盲目推进临床研究,而是先通过结构优化与系统药理学研究,确立超长效核心优势,这种‘谋定而后动’的思路,正是《指导原则》所倡导的整体研发理念的体现。”


考格列汀的探索性研究阶段严格遵循这一规范,通过Ⅰ期健康受试者的单次给药剂量递增(SAD)研究、Ⅱa期T2DM患者的多次给药剂量递增(MAD)研究[2]的阶梯式设计,实现了剂量的精准优化。
在Ⅰ期健康受试者的单次给药剂量递增(SAD)研究中,设置5mg至150mg多剂量梯度,监测血药浓度、DPP-4抑制率等指标,结果显示:考格列汀血中药时曲线呈双峰特征,消除缓慢,在5~100 mg剂量范围内,半衰期超过100小时。

图3:Ⅰ期健康受试者SAD研究:考格列汀半衰期超100小时
Ⅱa期T2DM患者的多次给药剂量递增(MAD)研究中[2],纳入未接受降糖药物治疗的2型糖尿病患者,设置10mg、25mg、50mg三个双周给药剂量组,以安慰剂为对照,治疗周期12周。结果显示:考格列汀口服后药物吸收相对较快,中位达峰时间(Tmax)约1~3小时。在10~50 mg剂量范围内,单次给药与连续多次给药的PK特征相似,且血药峰浓度(Cmax)和曲线下面积(AUC)均随剂量增加而呈线性增加。多次给药后,考格列汀在体内没有蓄积。同时三个剂量组治疗12周,HbA1c降幅都能达到约1.0%。探索性研究发现:考格列汀能够实现更持久的DPP-4酶抑制。

图4:T2DM患者MAD研究:考格列汀两周给药一次达到DPP-4持续抑制


指导原则提出:2型糖尿病非胰岛素制剂的关键临床试验需至少完成2项研究,通常为一项单药治疗试验与一项联合二甲双胍
治疗试验,且均应采用随机、双盲、对照设计。
考格列汀的Ⅲ期关键研究严格遵循这一要求,结果均正式发表在Diabetes Obesity & Metabolism(JCR一区),其高质量设计与结果为药物疗效确证提供了坚实支撑。
考格列汀单药在中国T2DM患者中有效性和安全性的多中心、随机、双盲、安慰剂对照的Ⅲ期临床研究中,从全国52家中心纳入476例患者进行随机分组,接受考格列汀10mg Q2W,25mg Q2W或安慰剂治疗,进行为期24周的双盲基础治疗期,完成基础治疗期的受试者可进入开放标签延展治疗期,统一接受考格列汀25 mg Q2W治疗28周。结果显示,用药24周时,考格列汀单药治疗10 mg组和25 mg组的HbA1c降幅显著优于安慰剂(P<0.0001)。证明了考格列汀10mg、25mg每2周1次的给药方式可显著改善中国T2DM患者的血糖控制水平,且在52周的长期治疗中疗效持续,患者总体耐受良好。考格列汀有望成为T2DM患者长期治疗更便捷的新选择[3]。

图5:考格列汀单药治疗Ⅲ期研究主要疗效指标,24周HbA1c较基线变化显著优于安慰剂
考格列汀联合二甲双胍在治疗二甲双胍单药治疗控制不佳的中国T2DM患者的Ⅲ期临床研究中,从全国61家中心纳入465例患者进行随机分组,接受考格列汀10mg Q2W,25mg Q2W或利格列汀5mg QD进行为期24周的双盲基础治疗期治疗,各组均与二甲双胍联合治疗,完成基础治疗期的受试者可进入开放标签扩展治疗期,统一接受考格列汀25mg Q2W治疗28周。结果显示:基础治疗期24周,考格列汀10mg组和25mg组在T2DM患者中均具有较好的降糖获益,且降糖效果均非劣于利格列汀片
[组间差异 0.11% (95% CI: -0.07, 0.29)],部分指标(HbA1c达标率、2h-PPG、挽救治疗率)显示25mg相对于10mg可能有更好的临床获益,但无统计学差异。延展治疗期结果显示基础治疗期的降糖效果均能继续维持。

图6:考格列汀联合治疗Ⅲ期研究主要疗效指标:24周HbA1c较基线变化与利格列汀相近
两项III期研究中,同研究的各组患者的不良事件发生率相似,大多数为轻中度,未发生与试验组和对照组药物相关的严重不良事件。治疗期间未报告严重低血糖事件,未观察到体重变化或剂量相关安全性问题,且在延展治疗期内考格列汀治疗未出现明显的新安全性问题[4]。
两项研究均采用中心实验室检测HbA1c,严格控制饮食与运动干扰,确保结果可靠性。
纪立农 教授
北京大学人民医院内分泌科主任
“考格列汀的Ⅲ期研究通过严谨的对照设计与足够的样本量,充分确证了药物在单药及联合治疗场景下的疗效与安全性,为其临床应用提供了科学依据。”


指导原则强调,应“尽早开展特殊人群用药研究”,尤其关注肾功能损伤患者的获益风险评估。一项研究显示:我国2型糖尿病合并慢性肾脏病
的患病率为36%[5],用药选择受限,考格列汀研发团队严格按照原则指导,专门开展肾功能不全人群药代动力学研究,填补了特殊人群用药空白。
针对肾功能不全患者,考格列汀也已完成一项多中心、开放、非随机、平行对照的临床试验,探索了考格列汀在不同程度肾功能不全患者中药代动力学特征。此研究根据患者肾小球滤过率(GFR)
水平,纳入8例轻度肾功能不全(60≤GFR<90mL/min)、10例中度肾功能不全(30≤GFR<60mL/min)、10例重度肾功能不全(15≤GFR<30mL/min)、5例终末期肾功能衰竭(ESRD,GFR<15mL/min,未进行透析)和9例肾功能正常(90≤GFR<130mL/min)受试者,均接受单次空腹口服考格列汀10mg治疗,观察血浆中考格列汀的药代动力学参数的变化。结果显示:不同程度肾功能不全受试者血浆中考格列汀的总暴露量(AUC0-inf)暴露水平无明显差异,血浆中DPP-4的抑制水平无明显差异,同时安全性和耐受性良好。这项研究也为肾功能不全患者使用考格列汀时无需进行剂量调整提供了核心循证依据[6]。

图7:考格列汀在肾功能不全患者中的药代动力学参数:血药浓度较肾功能正常者无显著增加
纪立农 教授
北京大学人民医院内分泌科主任
“通过在特殊人群中的研究,证实了考格列汀在肾功能不全患者的用药安全性,践行了指导原则‘以患者为中心’的理念,让更多特殊人群能从新药中获益。”


指导原则对降糖药物安全性评估提出严格要求,重点关注低血糖风险、心血管影响,同时强调全生命周期管理。考格列汀两项为期52周的Ⅲ期临床试验,总体安全性结果显示,无论是单药使用,还是联合二甲双胍使用,均具有良好的安全性和耐受性,报告的主要不良反应均为轻度且为一过性反应,无需药物干预或停药。在低血糖风险方面,考格列汀单药及联合治疗的低血糖发生率均低于5%,且无严重低血糖事件,低血糖风险低。


指导原则鼓励新药研发过程中与监管机构保持良好沟通,确保临床设计符合监管要求,加速研发进程。考格列汀的研发全程重视与CDE的常态化沟通,构建了高效协作机制。
研发初期,团队就考格列汀的超长效结构设计、双周给药方案的创新性与合理性,与CDE开展专项沟通,明确研究重点与评价标准;探索性研究阶段,创新的分子结构优化、双周剂量的优化依据等关键问题,获得监管部门认可,为剂量选择提供支撑;关键研究阶段,就考格列汀联合二甲双胍研究采用阳性对照的设计方案、疗效非劣效界值设定等核心内容,与CDE充分对接,确保研究设计符合指导原则与国际通行标准;在特殊人群研究阶段,针对肾功能不全患者无需调量的结论,通过沟通达成共识,简化临床用药流程。这种专业化沟通不仅保障了研发规范性,更有效缩短了审评周期,加速了考格列汀的上市。
作为中国原研的超长效DPP-4抑制剂,考格列汀以双周给药的便利性、肝肾无忧的安全性、与日制剂相当的疗效,填补了长效降糖药的临床空白。
回首看考格列汀的研发之路,为中国2型糖尿病药物研发提供了科学范式——以指导原则为引领,以临床需求为导向,通过结构创新、严谨试验设计与积极监管沟通,从结构优化、机制探索,到剂量优化、关键确证,再到特殊人群研究,构建了完整的循证证据链,实现新药从实验室到临床的高效转化。
随着医学科学的发展,期待更多像考格列汀这样的创新药物涌现,为我国糖尿病患者提供更精准、安全、便捷的治疗选择,推动中国新药研发迈向高质量发展新阶段。
纪立农 教授
北京大学人民医院内分泌科主任,北京大学糖尿病中心主任,博士生导师,享受国务院特殊津贴
1986年毕业于北京医科大学
1993-1998年在哈佛大学Joslin糖尿病中心学习和工作
现任中国药促会糖尿病与代谢性疾病药物临床研究专业委员会主任委员
中国心血管代谢联盟共同主席,中国卒中学会副会长, 中国肥胖联盟副主席,中华医学会理事
中国预防学会常务理事,中国老年保健医学研究会常务理事, 北京医学会理事,世界卫生组织顾问
国际糖尿病联盟亚洲西太平洋地区(IDF-WPR)糖尿病政策组成员
欧洲糖尿病研究协会(EASD) 全球理事会理事
曾任第一届中国医师协会内分泌代谢医师分会会长,第二届中国老年保健研究会内分泌与代谢病分会主任委员,第四届北京市糖尿病专业委员会主任委员,第十届北京市医学会内分泌专业委员会主任委员,第六届中华医学会糖尿病学分会主任委员,北京围手术期医学会第一任会长,国际糖尿病联盟副主席,国际糖尿病联盟西太平洋区(IDF-WPR)主席
担任中国糖尿病杂志主编,Journal of Diabetes Investigation 执行编委,diabetes care, Diabetes Research and Clinical practice,Journal of Diabetes,Metabolism,Diabetes Technology and therapeutics等期刊编委
爱思唯尔“中国高被引学者”(2020-2025年), 入选2022-2025年全球前2%顶尖科学家榜单,国际糖尿病联盟(IDF)杰出荣誉学者
参考文献
本视频/资讯/文章的内容不能以任何方式取代专业的医疗指导,也不应被视为诊疗建议。医脉通是专业的在线医生平台,“感知世界医学脉搏,助力中国临床决策”是平台的使命。医脉通旗下拥有「临床指南」「用药参考」「医学文献王」「医知源」「e研通」「e脉播」等系列产品,全面满足医学工作者临床决策、获取新知及提升科研效率等方面的需求。