
绘云生物智能肝纤维化分级评估系统获国际顶刊Cell Reports Medicine验证
导语
全球首个基于代谢组学转化的肝纤维化
临床质谱检测模型Met-FIB,近日获Cell Reports Medicine验证,其在“确诊”特异性方面表现优异。
肝纤维化无创精准检测,迫在眉睫
全球慢性肝病负担日益沉重,代谢相关脂肪性肝病(MASLD)影响全球约38%人口,我国慢性乙型肝炎病毒
(CHB)感染人数约8700万。
肝纤维化是发展为肝硬化
乃至肝衰竭
的关键病理进程,其早期、准确分期对于指导治疗、改善预后至关重要。
虽然肝穿刺活检是“金标准”,但其有创性、取样误差等限制了临床应用。因此,开发高精度、无创的替代诊断工具,是临床亟待解决的难题。
顶级期刊发表,彰显研究价值
2026年3月11日,香港大学李嘉诚医学院/上海交通大学医学院附属第六人民医院贾伟教授(绘云生物创始人、欧洲科学院院士)、宁波大学医学院特聘研究员谢国祥博士(绘云生物联合创始人、首席科学家)以及香港中文大学消化疾病全国重点实验室Vincent Wong教授团队联合多家临床中心在Cell Reports Medicine(IF:10.6)发表最新研究成果,正式公布基于绘云生物核心技术开发的Met-FIB诊断模型临床验证数据。
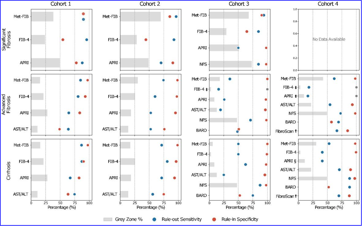
本研究共纳入4,284名受试者,涵盖CHB与MASLD两种病因,所有病例均经肝活检确诊。研究证实,Met-FIB模型在所有纤维化分期(显著纤维化、进展期纤维化、肝硬化)的诊断准确性上,均显著优于传统的FIB-4指数、FibroScan(瞬时弹性成像)以及其他多种血清学指标(如APRI、NFS、BARD评分)。[1]

夯实的研究基础,助力临床快速落地
亮点一:智能肝纤维化分级评估系统核心算法
Met-FIB是绘云生物"肝纤维化与肝硬化风险筛查试剂盒"及配套AI软件LiveForest的核心技术基础。该模型在FIB-4参数基础上,创新性整合通过代谢组学发现的两种关键小分子代谢物——酪氨酸(Tyrosine)和牛磺胆酸
(Taurocholic acid),并采用先进的TabPFN机器学习算法构建六指标诊断体系。
这一技术突破源于二十余年代谢组学科研积累,依托全球首个且数据量最大的临床表型组学数据库,通过自主研发的Q300代谢芯片技术筛选验证,最终锁定酪氨酸(Tyr)与牛磺胆酸(TCA)作为核心代谢标志物。

(绘云生物临床表型组学数据库)
酪氨酸反映肝细胞代谢功能障碍,牛磺胆酸通过激活肝星状细胞促进纤维化进程,两者结合FIB-4经典参数,实现了从"临床指标"到"机制驱动"的跨越。
亮点二:“排除”与“确诊”能力双优
(1)在CHB患者中(验证队列729例)[1]:
•显著纤维化(≥S2):排除敏感性96.3%,确诊特异性85.4%
•进展期纤维化(≥S3):确诊特异性高达98.6%
•肝硬化(S4):确诊特异性98.8%

图注:验证队列2中Met-FIB与两个代谢物及FIB-4的ROC和AUPRC值比较
(A-D)ROC曲线;(E-H)对应的AUPRC值(柱状图)。分别展示:(A、E)CHB患者与对照组的鉴别;(B、F)显著纤维化与早期纤维化的鉴别;(C、G)进展期纤维化与非进展期纤维化的鉴别;(D、H)肝硬化与非肝硬化纤维化的鉴别。数据呈现95%置信区间。统计显著性:*p<0.05,**p<0.01,***p<0.001。缩写:ROC,受试者工作特征曲线;AUPRC,精确率-召回率曲线下面积;CHB,慢性乙型肝炎;Tyr,酪氨酸;TCA,牛磺胆酸;FIB-4,纤维化-4指数。
(2)MASLD患者中(验证队列304例):
•显著纤维化(≥S2):排除敏感性93.9%,确诊特异性90.2%
•进展期纤维化(≥S3):确诊特异性100%(队列3)和98.0%(队列4)
•当FIB-4敏感性仅16.1-18.2%时,Met-FIB仍保持35.5-61.8%的敏感性,同时维持98%以上特异性
(3)临床辅助诊断性能全面优于常规检测方法:
• vs FIB-4:在MASLD队列中,对于进展期纤维化Met-FIB敏感性提升2-3倍,灰区比例从47.7%降至18.1%。
• vs FibroScan:Met-FIB对进展期纤维化的确诊特异性更高(98.0% vs 84.8%),可作为弹性成像的首选辅助验证手段。
• vs APRI/NFS/BARD:在敏感性与确诊特异性上全面优于传统评分系统

图注:Met-FIB与各对照指标在队列1-4中的诊断性能比较
蓝色圆圈:排除敏感性;红色圆圈:确诊特异性;灰色条带:灰区比例。†FibroScan采用单一截断值方法。‡确诊特异性(100%)基于有限样本(见灰色圆圈):APRI≥1.500(队列4,n=2);FIB-4≥3.250(队列4,n=6;队列3,n=5)。§由于无样本超过确诊截断值(队列4肝硬化APRI>2.0),特异性不可计算。缩写:CHB,慢性乙型肝炎;FIB-4,纤维化-4指数;APRI,天冬氨酸氨基转移酶与血小板比值指数;AST/ALT,天冬氨酸氨基转移酶与丙氨酸
氨基转移酶比值;NFS,NFS,非酒精性脂肪性肝病
纤维化评分;BARD,BMI-AST/ALT比值-糖尿病
评分。
(4)跨病因普适性:FIB-4、APRI等传统指标在CHB与MASLD中往往需要采用不同的诊断阈值,而Met-FIB采用统一截断值体系,在两大病因中均表现良好,无需依据病因调整阈值,临床应用更为简便。
从研究到临床应用的完美印证
这项重磅研究与绘云生物产品形成了完美的“研-产”闭环。
1.核心技术指标完全一致:本研究筛选并验证的两个核心代谢标志物——酪氨酸(Tyr)和牛磺胆酸(TCA),已被成功转化为临床检测指标。研究采用的代谢物检测技术(高通量代谢组阵列Q300平台)具备严格的标准化流程和优异的重复性,确保了数据的精确与可靠。这为基于代谢组学的肝纤维化无创诊断提供了高等级的循证医学证据。该试剂盒是国内首个基于液相色谱-串联质谱
(LC-MS/MS)技术,同时准确定量实现肝纤维化/肝硬化风险辅助评估的体外诊断产品。
2.研究数据提供坚实循证支持:本研究的大规模、多中心临床验证数据,为该试剂的临床效能提供了来自独立科研团队的、高质量的循证医学证据。研究表明,结合了这两个代谢物的模型,能显著提升对肝纤维化的“确诊”能力,这与绘云产品定位的、针对高风险人群和需明确分级患者的临床价值点高度契合。
3.方法学同源:论文中明确指出,代谢物的检测使用了高通量代谢组阵列Q300技术平台,该平台具备严格的标准化流程和优异的重复性,确保了数据的精确与可靠。这进一步印证了从检测技术到标志物选择的全链条创新实力。
结语
科学研究的突破,最终是为了照亮临床实践的道路。顶级期刊的验证,为肝病无创精准诊断领域提供了新的有力工具。未来,期待更多基于代谢组学的创新成果落地,惠及广大肝病患者。
• 本研究由香港大学医学院/上海交通大学医学院附属第六人民医院贾伟教授、宁波大学医学院特聘研究员谢国祥博士以及香港中文大学消化疾病全国重点实验室Vincent Wong教授作为共同通讯作者完成。
• 香港大学医学院陈沅苑博士和杨天标博士为本文共同第一作者。
绘云生物:引领代谢组学精准诊断
绘云生物致力于代谢组学技术创新与临床转化,其中“肝纤维化与肝硬化风险检测试剂盒”正是这一体系的成功典范,目前已获得中国NMPA批准上市,服务于国内数百家医疗机构。绘云生物拥有自主知识产权的精准定量代谢组学技术体系,构建了从标志物发现、方法开发、到试剂盒注册报批及产业化的完整体系,已推动多项诊断产品服务于医疗机构。此次Cell Reports Medicine文章的发表,是对酪氨酸和牛磺胆酸作为肝纤维化核心标志物价值的国际认可,也展示了从科研到临床的完整转化路径。


参考文献:1. Chen Y, Yang T, Chen T, et al. A metabolite-augmented FIB-4 machine learning panel achieves superior liver fibrosis staging in chronic liver disease. Cell Reports Medicine, 2026.
原文链接:https://www.cell.com/cell-reports-medicine/fulltext/S2666-3791(26)00143-6