
偏头痛困扰全球超11.6亿人,全身炎症是否为关键推手?

偏头痛是一种致残性神经系统疾病,影响全球超11.6亿人。尽管其发病机制尚未完全阐明,但越来越多的证据表明,三叉神经血管系统的激活和神经炎症过程在其发病过程中发挥关键作用。同时,全身炎症的重要性在偏头痛病理生理中逐步得到认可,偏头痛患者外周血促炎细胞因子水平会升高,这一表现在发作期和慢性偏头痛(CM)患者中更加突出。
血常规(全血细胞计数,CBC)能够方便地测量外周血中的免疫细胞,其衍生的复合炎症指标已被广泛应用于评估包括神经系统疾病在内的多种疾病的全身炎症状态,但在偏头痛患者中的探索尚处于初步阶段 。该项观察性横断面研究旨在评估偏头痛患者的外周血常规全身炎症情况,并与健康对照组进行比较。

研究设计
研究纳入符合国际头痛疾病分类第三版(ICHD-3)诊断标准的偏头痛患者,以及在评估前3个月内进行过血常规检查的健康对照者(HCs)。研究收集他们的外周血样本,进行了全面的神经学检查、病史回顾和偏头痛特征评估。并计算了包括中性粒细胞与淋巴细胞比值(NLR)、血小板与淋巴细胞比值(PLR)和全身免疫炎症指数(SII)在内的多个炎症指数。
偏头痛患者纳入标准:年龄≥18岁;签署知情同意书;根据ICHD-3诊断为偏头痛;在评估前3个月内进行过血常规检查;在进行血常规检查与面诊期间,患者其他合并症的治疗或偏头痛预防性治疗方案均未发生显著变化。排除标准:患有自身免疫性疾病、炎症性疾病或血液学疾病可能改变血常规参数的患者;接受类固醇或其他免疫调节药物治疗的患者。
健康对照组从医院工作人员和进行常规健康检查的个体中招募,纳入标准为年龄≥18岁,无原发性或继发性头痛病史,排除标准与偏头痛组相同。
研究结果
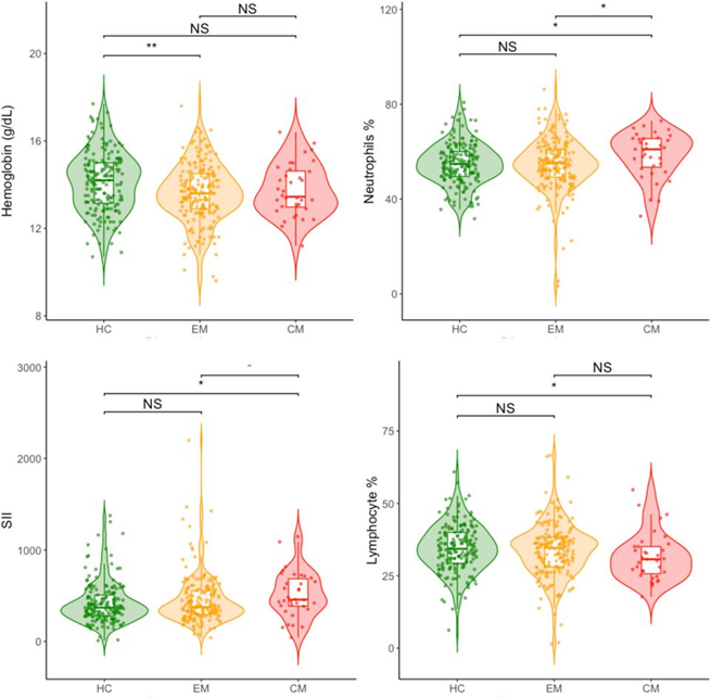
研究共纳入409名受试者:179名健康对照(HCs)、194名发作性偏头痛(EM)患者和36名CM患者。
CM患者的每月头痛天数及每月止痛药使用次数均高于EM患者,残疾评分也显著更高:HIT-6(头痛影响测评量表-6,68.42±5.39 vs. 62.38±1.55;P< 0.01)、MIDAS(偏头痛残疾评估量表,89.15±50.31 vs. 27.82±28.92;P < 0.01)。疾病持续时间或VAS(视觉模拟量表)评分未观察到显著差异。
在炎症指数方面,系统性免疫炎症指数(SII)在EM、CM和HCs组之间存在显著差异(P = 0.024)。
事后分析显示,CM组的SII(514.20±250.57)显著高于HCs组(423.14 ±221.69)(P= 0.019),且显著高于EM组(448.28±266.53,P= 0.044)。
中性粒细胞百分比:CM患者的中性粒细胞百分比(58.69 ± 9.57)高于HCs组(54.81 ± 8.86,P= 0.019)和EM患者(55.39±9.77,P= 0.016)
淋巴细胞百分比:在CM中(31.51 ± 8.27)低于HCs组(34.55 ± 8.24,P= 0.047)
血红蛋白水平:在EM组中显著低于HCs组(P= 0.003)
SII与MIDAS(ρ=0.090, p=0.375)、HIT-6(ρ=0.076, P=0.428)或每月头痛天数(ρ = 0.117, P = 0.099)之间未观察到显著相关性 (图1)

图 EM患者、CM患者以及HCs组的血细胞计数、炎症参数及指标的对比
讨论
与既往文献一致,CM患者的中性粒细胞百分比高于HCs组和EM组,而淋巴细胞百分比在CM组中则显著低于HCs组。这表明中性粒细胞-淋巴细胞失衡反映了患者存在持续的低度全身炎症状态。中性粒细胞-淋巴细胞失衡可能作为慢性偏头痛状态的外周免疫特征,潜在反映了反复的伤害性刺激激活、中枢敏化和神经源性炎症的发生。
在本研究队列中,CM患者的SII显著高于EM组和HCs组。提示多组分炎症指标比单一参数更能捕捉偏头痛患者的亚临床外周免疫失调,为偏头痛炎症机制研究提供了更具价值的评估指标。研究还意外发现,EM患者血红蛋白水平降低,这与既往研究中“缺铁性贫血与偏头痛易感性相关”的结论一致,提示缺铁可能是发作性偏头痛的危险因素之一。
从机制角度看,外周炎症改变可能是中枢神经炎症的一种镜像表现,中枢胶质细胞释放的促炎细胞因子不仅敏化中枢疼痛通路,还可通过神经-免疫双向通讯调控外周免疫反应,这揭示了偏头痛中中枢神经炎症与外周免疫改变之间存在复杂的相互作用。
该研究是少数将 CBC衍生炎症指标应用于偏头痛的研究,样本量相对较大。研究设计严格排除了自身免疫病、感染等混杂因素,有效提升了结果的可靠性;同时纳入健康对照组,进一步强化了对疾病特异性改变的解释力度。此外,研究结果聚焦常规血液指标,使其在临床上具有良好的适用性,且易于转化为临床实践。
参考文献:Romozzi M, Tosto F, Gentile A,et al. Systemic Inflammation Markers in Migraine: A Cross-Sectional Study. Eur J Neurol. 2026 Mar;33(3):e70547.
