
百济血液学术月评 | 直击真实世界研究:探寻KRd方案之道,共谋多发性骨髓瘤治疗之策
高质量的文献是血液领域医生学习的重要窗口。为进一步推动我国血液病学科发展,百济聚焦临床需求,开设“血液学术月评”活动,每月邀请国内血液学专家汇聚一堂,解读当月血液领域核心杂志优秀文献,并进行精彩点评。本期邀请中日友好医院李振玲教授作为会议主席,并邀请多位专家分别对3篇多发性骨髓瘤
(MM)领域的新发文献进行深度解读,内容整理如下。
主席致辞
李振玲 教授:本次“血液学术月评”以“聚焦患者,重塑未来”为主题,重点关注MM的治疗,无论是初次诊断还是复发难治阶段,同时也包括药物治疗方面。希望通过深入解读相关文献,让各位临床医生对MM的治疗有更加全面的了解,并为未来的治疗提供更好的指导。
RRMM真实世界经验
王慧娟教授:卡非佐米
、来那度胺
和地塞米松
治疗复发/难治性多发性骨髓瘤:托斯卡纳地区骨髓瘤网络的前瞻性真实世界经验1
王慧娟 教授
背景:卡非佐米可与来那度胺和地塞米松联合(KRd方案),或与地塞米松联合(Kd方案),或与抗CD38抗体联合(Isa-Kd方案;Dara-KD方案)治疗既往至少接受过一线治疗的MM患者。目前尚无分析KRd方案疗效的前瞻性研究。本研究的目的是评价真实世界中,既往接受过一线或二线治疗的患者接受KRd方案治疗的缓解情况和安全性数据。
方法:研究在7个托斯卡纳血液学中心进行,共纳入85例复发/难治性多发性骨髓瘤(RRMM)患者,接受KRd方案作为二线或三线治疗,随访2年。所有患者均接受KRd方案治疗,28天为一个周期。在12周期后,根据医生的判断对卡非佐米进行减量,并持续到18周期以上,治疗持续至疾病进展或出现不可耐受的毒性。
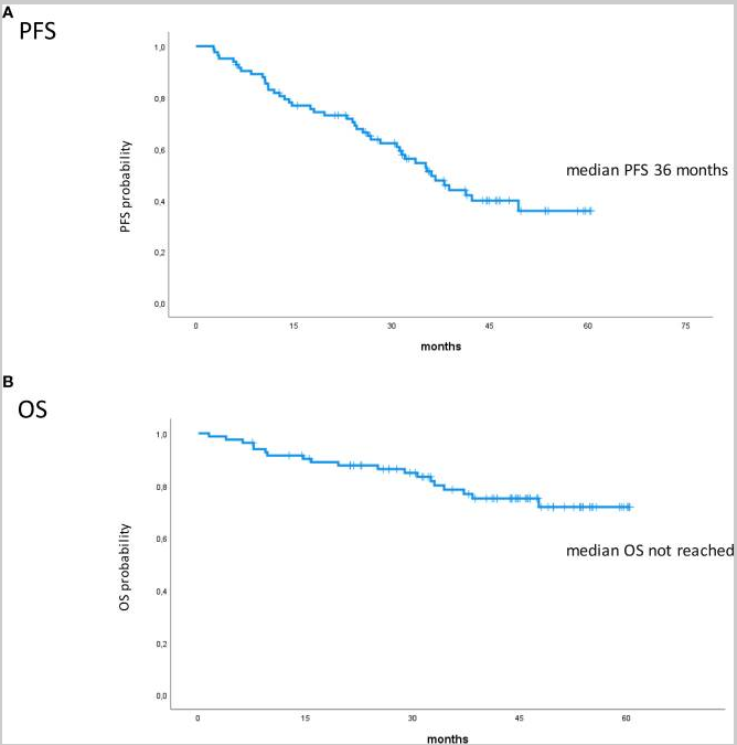
结果:85例RRMM患者接受了KRd方案治疗,中位年龄为61岁,其中83例患者可评估疗效,总缓解率(ORR)达95%,57%的患者达到高质量缓解(≥非常好的部分缓解[VGPR]),28%的患者达到了部分缓解(PR)。中位无进展生存期(PFS)为36个月(图1A)。达到高质量缓解和既往自体造血干细胞移植(ASCT)、中位PFS改善相关。中位总生存期(OS)未达到(图1B),5年OS率为73%。19例患者接受了KRd方案作为移植的桥接治疗,移植后,65%的患者获得了微小残留病(MRD)阴性。

图1 Kaplan–Meier生存曲线
A 所有患者的PFS;B 所有患者的OS
患者接受KRd方案治疗的耐受性良好,常见的不良事件(AE)为血液学不良事件,其次为感染和心血管事件。在心血管事件中,最常见的是动脉高血压(12%),而充血性心力衰竭、心律失常和缺血性心脏病发生率较低,且很少发生3-4级AE。
结论:该研究明确了KRd方案在真实世界中的可行性和安全性,且停药率较低,主要AE为血液学毒性,对于大多数患者可以通过来那度胺减量即可得到很好的控制。此外,研究证实了KRd方案作为ASCT桥接治疗的有效性,尽管存在原发难治性患者,但仍获得了良好结局。因此,KRd前线治疗有效且相对安全,在真实世界中可作为挽救性移植的再诱导方案。
专家点评
北京协和医院 庄俊玲教授
对于卡非佐米在RRMM中的应用,临床医生需要积累更多的经验,这篇文献有助于临床医生更深刻地了解其在RRMM的治疗数据。本院也发起过多中心的真实世界研究,尽管患者既往接受过其他方案治疗,但仍有较大比例的患者能够从卡非佐米联合治疗方案中获益。因此,卡非佐米是VRd(来那度胺、地塞米松、硼替佐米
)等一线治疗方案后首次复发的有力武器。此外,有研究证明卡非佐米联合方案对70岁以上不适合移植的患者也显示出较高的有效率,因此,患者只要自身情况允许,也可以考虑卡非佐米联合方案治疗。
MM第二原发恶性肿瘤特征
仇钰教授:在适合和不适合移植的新诊断多发性骨髓瘤患者中予以来那度胺维持治疗;在Myeloma XI研究中接受治疗的4358例患者中分析第二原发恶性肿瘤特征2
仇钰 教授
背景:来那度胺是MM的基石治疗药物,然而长期使用来那度胺可能增加第二原发恶性肿瘤(SPM)包括急性髓性白血病(AML)和骨髓增生异常综合征(MDS)的发生率。荟萃分析提示,使用美法仑
联合来那度胺是主要的风险因素。
方法:该大型、III期随机研究招募了符合移植条件(TE)和不符合移植条件(TNE)的新诊断多发性骨髓瘤(NDMM)患者,进行以免疫调节剂为基础的诱导治疗+/-ASCT后,随机接受来那度胺维持治疗或仅观察,并分析了SPM的发生率和SPM类型,以确定来那度胺对患者的影响。
结果:自2010年5月以来,4358例患者入组并接受诱导治疗,数据截止时的中位随访时间为60个月。在开始治疗的4358例患者中,2532例纳入TE组,1826例纳入TNE组。后续共有2274例患者随机接受维持治疗,包括1368例患者接受来那度胺维持治疗,906例患者仅观察。TE组和TNE组患者维持随机化后的中位随访时间分别为54.5个月和46.1个月。
在TE组中,来那度胺维持治疗患者的总体SPM发生率为7.7%,观察组患者的SPM发生率为3.2%(P=0.006);在TNE组中,来那度胺维持治疗患者的SPM发生率为15.4%,观察组患者的SPM发生率为10%,无统计学显著性(P=0.10)差异。
血液学SPM(hSPM)不常见,发生率为1.1%,且大多数病例是在来那度胺维持治疗的TE患者中诊断,可能与美法仑相关。来那度胺维持治疗患者发生的SPM大多数为非黑色素瘤皮肤癌(NMSC)和实体瘤,尤其是TNE组的患者,分别有5.5%和2.6%的患者诊断为鳞状细胞癌和基底细胞癌
。此外,年龄对SPM发生也具有一定影响,接受来那度胺治疗的74岁以上的患者的SPM发生率高于其他患者。
在接受来那度胺维持治疗的患者中,进展性骨髓瘤导致的死亡率降低(TE组,来那度胺vs仅观察:16.6% vs 22.6%;TNE组,来那度胺vs仅观察:32.7% vs 41.5%)。不仅如此,来那度胺治疗的患者的SPM相关死亡率较低,TE组和TNE组中,来那度胺维持治疗患者的SPM相关死亡率分别为1.8%和6.1%(详见图2)。

图2 TE组和TNE组的患者结局
结论:研究数据表明,来那度胺维持治疗与SPM的低发生率、低死亡风险和生存期改善相关,尤其是ASCT后的患者。来那度胺维持治疗患者的SPM发生率增加,但三分之一的患者为低风险NMSC。在TNE患者中,SPM的发生率未显著增加,说明无论使用来那度胺维持治疗与否,老年MM患者均有癌变倾向,需对长期接受来那度胺治疗的患者检查可能的SPM体征和症状。
专家点评
首都医科大学附属北京朝阳医院 刘爱军教授
该研究共纳入了4358例患者,并进行了较长时间的随访,使得临床对于来那度胺治疗的认识更加清晰,特别是长期应用是否存在第二肿瘤的问题。过去,临床一直关注长期维持治疗是否会增加第二肿瘤的风险,是否需要转换至其他对第二肿瘤影响较小的治疗药物。尽管来那度胺的潜在第二肿瘤风险一直备受临床关注,但从该研究可以看出,老年人群本身就存在肿瘤发生的倾向,再加上长期使用治疗药物,可能会增加血液肿瘤的发生率。此外,其他实体瘤如皮肤癌等也需要在未来的工作中予以关注。
KRd方案和VRd方案的研究进展
高爽教授:VRd方案和KRd方案在真实世界标危和高危MM患者中的疗效和安全性3
高爽 教授
背景:蛋白酶体抑制剂和免疫调节药物改善了NDMM患者的临床结局,VRd方案或KRd方案是常用的诱导治疗方案。根据既往研究结果,VRd作为NDMM患者的诱导方案,可改善PFS和OS;KRd方案也已在NDMM患者中开展的多项研究得到证实,具有较高的ORR和缓解深度,持久缓解,且安全可耐受。本回顾性研究旨在确定VRd方案和KRd方案在标危和高危MM患者中的疗效和安全性。
方法:本研究使用内部数据查询平台确定了2015年01月01日至2019年12月31日期间在Memorial Sloan Kettering癌症中心接受VRd方案和KRd方案治疗的NDMM患者,使用描述性统计分析了VRd和KRd组患者的疾病特征以及安全性,使用Fisher精确检验和Wilcoxon秩和检验比较两个治疗组之间的变量。
结果:在389例NDMM患者中,198例患者接受VRd方案治疗,191例患者接受KRd方案治疗,两组均未达到中位PFS;VRd组和KRd组患者的5年PFS率分别为56%和67%,5年OS率分别为80%和90%。对于标危患者,VRd组和KRd组的5年PFS率分别为68%和75%,5年OS率分别为87%和93%。对于高危患者,VRd组和KRd组的中位PFS分别为41个月和70.9个月,5年PFS率分别为35%和58%(详见图3),5年OS率分别为69%和88%。总体而言,VRd和KRd组分别有10%和7%的患者因不良事件而需要中止治疗。VRd组有15%的患者出现干扰功能的感觉改变或症状性无力,或更严重的神经病变(≥2级),而KRd组患者均未发生≥2级的周围神经病变。

图3 基于细胞遗传学的患者的PFS
A:标危患者的PFS;B:高危患者的PFS
结论:总体而言,与VRd方案相比,KRd方案改善了PFS,并有改善OS的趋势,尤其在高危患者中。此外,KRd方案神经毒性较低,未发生≥2级的周围神经病变。
专家点评
北京医院 冯茹教授
这篇文献通过展示KRd方案和VRd方案在真实世界中的数据,让临床医生能够了解到两种治疗方案带来的获益。VRd方案和KRd方案是常用的诱导治疗方案,均可改善患者的PFS和OS,持久缓解。对于初次接受治疗的患者而言,无论是标危还是高危患者,均能从KRd方案和VRd方案中获益,达到VGPR以上的患者比例增加。此外,KRd方案神经毒性较低,具有一定优势。