2023 ASH | 房佰俊教授:纵览国际最新研究成果,CD38单抗引领NDMM治疗趋势

来源:医脉通 2023.12.11
我要投稿

一年一度的美国血液学会(ASH)年会是全球血液学领域规模最大、涵盖最全面的国际学术盛会之一,2023年ASH年会将于12月9日-12日在美国圣迭戈召开,会议将公布血液学领域众多顶尖研究摘要。多发性骨髓瘤(MM)是一种尚无法治愈的血液肿瘤,复发后患者生存较差,因此选择最有效的一线治疗方案对MM患者尤为重要。本文精选了2023年ASH年会中新诊断(ND)MM治疗领域的亮点更新,帮助读者了解NDMM最前沿的研究进展,并特邀河南省肿瘤医院房佰俊教授进行点评,具体内容如下。


患者长期PFS获益有限,NDMM治疗亟需升级


MM复发难以避免,一项纳入24825例患者的大型真实世界回顾性分析1显示,在接受一线治疗的NDMM患者中,有相当一部分没有继续接受后续治疗,仅接受单线治疗的未行移植的患者比例为57%,移植患者比例为21%。这凸显了对NDMM患者采用最佳一线治疗方案的重要性。


在CD38单抗时代之前,法国非干预性前瞻性EMMY研究2显示,真实世界NDMM患者接受蛋白酶体抑制剂和/或免疫调节剂联合地塞米松治疗,长期生存尚不理想。该研究共纳入1597例在2017至2020年间开始接受治疗的NDMM患者,其中1036例不适合移植,561例适合移植。不适合移植患者主要接受VRd、VMP和Rd诱导治疗,适合移植患者主要接受VRd和VTd诱导治疗。

*V:硼替佐米,R:来那度胺,d:地塞米松,M:美法仑,P:泼尼松,T:沙利度胺


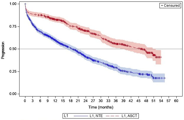
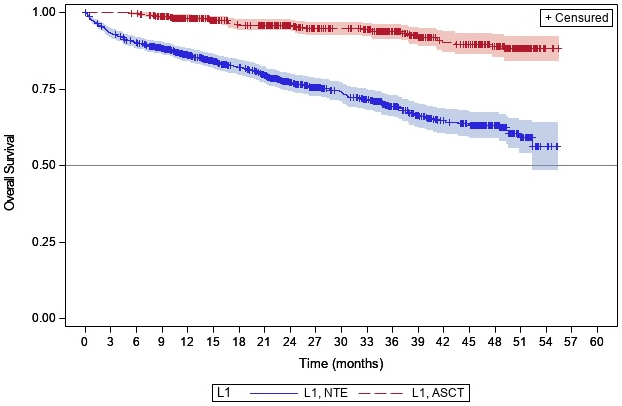
中位随访23.7个月,NDMM患者总人群的中位无进展生存期(PFS)为25.8个月,其中接受自体造血干细胞移植(ASCT)的患者为46.5个月,不适合移植患者仅18.7个月。尽管NDMM总人群中位总生存期(OS)尚未达到,但中位PFS较短,且不适合移植患者生存明显更差(图1,图2)。因此迫切需要开发更有效的一线治疗方法,以诱导更深且持久的缓解。


1702276129679374.png

图1 EMMY研究两组患者PFS


1702276147175907.png

图2 EMMY研究两组患者OS


ASCT坚实地位受广泛认可,CD38单抗诱导适合移植患者深度缓解


一线ASCT可为NDMM患者带来显著PFS获益,在MM治疗中发挥着重要作用,即使是在新疗法层出不穷的时代。随着支持治疗的改进和基础设施的完善,ASCT在全世界范围内年轻和老年患者中的应用率正在增加。


来自全球血液和骨髓移植网络的研究3共纳入2013至2017年间接受ASCT的61725例NDMM患者,结果显示,18-39岁、40-64岁、65-69岁、70-74岁和≥75岁患者的3年PFS率分别为56%、51%、50%、47%和45%,3年OS率分别为86%、83%、81%、78%和75%;各年龄组间复发的累积发生率没有显著差异。该研究表明,在全球范围内,有2%的接受一线ASCT的患者年龄<45岁,0.8%的患者年龄>75岁;由于非复发死亡率(NRM)的显著差异,高龄是OS和PFS的重要危险因素,但即使在>75岁的患者中,NRM也非常低(表1),ASCT仍然是适合移植NDMM患者安全有效的治疗手段。


表1 各年龄组患者移植后结局

1702276194851661.png


多年来,VRd一直是适合移植NDMM患者的标准一线诱导治疗方案,CD38单抗的引入逐渐改变了适合移植NDMM的治疗模式。III期IsKia试验4评估了Isa-KRd和KRd作为ASCT前诱导和ASCT后巩固治疗的疗效和安全性。该研究共纳入302例适合移植NDMM患者,1:1随机分配接受Isa-KRd或KRd诱导治疗。

*Isa:Isatuximab,K:卡非佐米


结果显示,与KRd组相比,Isa-KRd组患者在诱导治疗后(45% vs 26%)、ASCT后(64% vs 49%)和巩固治疗后(77% vs 67%)微小残留病(MRD)阴性率显著更高,且无新增安全性事件。值得注意的是,Isa-KRd方案可为高危患者、双打击患者带来与标危患者相当的缓解深度获益(图3),在10-5水平下,Isa-KRd组高危、双打击和标危患者巩固治疗后MRD阴性率分别为76%、77%和79%,但接受KRd治疗的高危或双打击患者MRD阴性率明显较标危患者更低(58% vs 53% vs 70%),可见在KRd方案基础上联合Isatuximab有望克服高危和双打击(超高危)患者不良预后。


1702276240950872.png

图3 IsKia研究亚组分析


疗效耐受性兼备,新型药物为不适合移植患者带来良好治疗选择


对于不适合移植NDMM的一线治疗选择,应综合考虑患者年龄、身体状况和细胞遗传学风险等因素。鉴于初始治疗的缓解深度与OS密切相关,且很大一部分不适合移植NDMM患者没有机会进行二线抗MM治疗,深度缓解应为此类患者的治疗目标5


EMN20试验是一项随机、多中心研究,旨在评估卡非佐米联合Rd(KRd)治疗健康或中等健康不适合移植NDMM患者的疗效。结果显示,中位随访24.9个月,79%的KRd组患者和50%的Rd组患者仍存活且无进展。在ITT人群中,治疗1年时两组MRD阴性率分别为50%和0%,接受KRd治疗的患者中有一半在治疗1年时达到了MRD阴性,且这一比例随治疗时间推移进一步提高,在治疗2年时KRd组MRD阴性率达到55%,而Rd组仍为0%。此外,有38%的KRd组患者获得2年持续MRD阴性。同时,较高的MRD阴性率也预示着更长的PFS,KRd组患者中位PFS未达到,而Rd组仅20.9个月(图4)6


1702276290800045.png

图4 EMN20试验结果


专家点评


房佰俊教授:

CD38单抗在MM一线治疗中的数据不断发展,为NDMM患者带来一线治疗决策的转变,现在许多中心都在考虑将含有CD38单抗的三药或四药联合方案作为MM一线治疗的一部分。本届ASH年会上公布的最新数据显示,以CD38单抗为基础的治疗方案可诱导适合移植NDMM患者达到更深缓解,改进ASCT后的结局;同时,其在通常年老/虚弱的不适合移植NDMM患者群体中,也表现出良好的疗效和耐受性。通过将CD38单抗与标准治疗方案或新一代蛋白酶体抑制剂、新一代免疫调节剂相互组合,有望在一线治疗中迅速控制疾病,为NDMM患者提供长久PFS获益。随着免疫治疗的不断发展和突破,NDMM患者未来可期。


640 (29).png

房佰俊 教授

主任医师, 医学博士, 博导

国务院政府特殊津贴专家

新世纪百千万人才工程国家级人选

中原千人计划科技创新领军人才

河南省高层次(B类)人才

河南省中青年卫生健康科技创新人才(领军)

河南省学术技术带头人

河南省骨髓瘤基础与临床创新团队学术带头人

亚洲骨髓瘤网络委员

中国医药教育协会骨髓瘤分会主委

中国医药教育协会血液学专业委员会常委

中国医师协会骨髓瘤专业委员会委员

中华医学会血液学分会骨髓瘤学组委员

中国医师协会整合血液病学专业委员会委员

中国多发性骨髓瘤研究联盟委员

中国抗癌协会骨髓瘤与浆细胞疾病学组委员

河南省生命关怀协会骨髓瘤专业委员会主委

河南省血液病专业委员会副主委

河南省医师协会血液科医师分会副会长

河南省实验血液学专业委员会副主委


*Isatuximab尚未在中国大陆地区获批

MAT-CN-2332359


参考文献
1.Lonial S, et al. Clin Lymphoma Myeloma Leuk. 2023 Nov;23(11):815-824.
2.Laure Vincent, et al. 2023 ASH. Abstract #P3355.
3.Shohei Mizuno, et al. 2023 ASH. Abstract #Oral785.
4.Francesca Gay, et al. 2023 ASH. Abstract #4.
5.Slavisa Ninkovic, et al. 2023 ASH. Abstract #P2019.
6.Sara Bringhen, et al. 2023 ASH. Abstract #Oral205.
7.Frida Bugge Askeland, et al. 2023 ASH. Abstract #P3381.