
2023 ASH | 李颢教授:MRD在多发性骨髓瘤领域中的热点问题探讨
微小残留病(MRD)这一概念在血液肿瘤中由来已久,但在多发性骨髓瘤
(MM)领域中的预后价值在近十年来才逐渐被认可。从预后相关性的悬而未决到近两年的毋庸置疑,短短十年,MRD在MM领域的火热程度令大多血液科医生都想一探究竟。今年美国血液学会(ASH)年会上更是有十多篇摘要文献专门探讨MRD在MM领域的实践应用。本期特别针对此热点进行,并邀请山东大学齐鲁医院李颢教授进行点评,以飨读者。
MRD价值再印证?可预测骨髓瘤治疗各阶段治疗
MRD反映了MM治疗缓解的深度,是无进展生存期(PFS)的有力预测因子,既往有研究报告称,总体治疗后>3年MRD阴性的MM患者的10年无进展生存率为88%1。本次ASH大会上,又有研究披露在真实世界≥5年处于完全缓解(CR)、MRD和影像学阴性的患者中,10年估计PFS率为91.4%。该结果可初步说明MRD可能能够真正预测MM的长期无病生存和可能的治愈1。
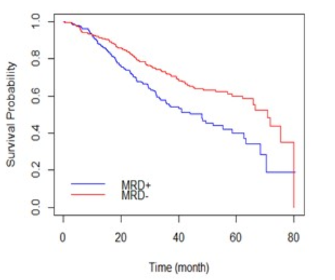
除整体治疗外,MRD的预测价值在MM诱导治疗、巩固治疗、自体干细胞移植(ASCT)、维持治疗、复发后挽救治疗等各个阶段都有数据支持2。一项回顾性单中心研究纳入734例诱导治疗后达到≥非常好的部分缓解(VGPR)的成年MM患者,在接受ASCT前进行了MRD检测。研究结果显示,与MRD阴性组患者相比,MRD阳性组患者的中位PFS显著缩短:分别为48.2个月(95%CI 0.3-80.5)和80.1个月(95%CI 0.5-80.1);p<0.001(图 1),对于高危细胞遗传学的患者,移植前MRD状态也可高度预测其PFS(HR 1.48;95%CI 1.03-2.11;p=0.033)3。

图1 移植前不同MRD状态患者PFS
价值认同,实践难行?原因刨析一览
一面是探索MRD的临床研究如火如荼地进行,一面是临床实践中MRD应用遇冷。其原因可能有以下几点:
一、骨髓检测不方便频繁检测和动态评估,而外周血MRD评估技术尚不成熟。本次ASH大会上,有研究者评估了BloodFlow(一种高度灵敏的方法(10-7),将免疫磁珠富集与二代流式细胞术(NGF)结合)、EasyM(一种质谱测定法)等方法评估外周血MRD的潜力4-5。Carmen Gonzalez等人4对867个外周血样本进行了BloodFlow检测,结果显示,外周血BloodFlow与骨髓中的NGF之间的一致性为78.9%(70.4%双阴性和8.5%双阳性),还有待进一步提高。
二、MM患者对MRD的认知还有待提高。一项针对MM患者对MRD看法的调查研究显示6,在接受MRD检测的患者(114例)中,81%的患者正确识别出他们进行了MRD检测,19%患者不知道或不确定自己是否进行了MRD检测。相比之下,在未接受MRD检测的患者(177例)中,60%的患者正确报告他们从未进行过MRD检测,但40%的患者错误地报告他们进行过或不确定是否进行过MRD检测。此外,30%的患者表示不太熟悉或不熟悉MRD检测。
三、MRD的检测阈值、方法等还未标准化。10-6的检测限与10-4存在很大差异,骨髓样本的质量也可能会影响结果。EuroFlow联盟近期在开发基于NGF进行MRD检测的高灵敏度、完全标准化的方法,期待其成果后标化工作可以进一步落地7。
四、尽管CD38单抗、CAR-T等药物都已在中国上市,但中国MM治疗仍处于蛋白酶体抑制剂(PI)+免疫调节剂(IMiD)-based阶段(图 2)8。本次ASH会议上公布的随机、多中心、Ⅲ期EMN20研究显示9,卡非佐米
、来那度胺
、地塞米松
(KRd)(42例)和来那度胺、地塞米松(Rd)(40例)年维持MRD阴性(10-5)的比例为38%和0%。而SKylaRk研究显示10,适合移植新诊断MM(NDMM)患者接受Isa(Isatuximab)联合KRd治疗6/8周期后,MRD阴性(10-5)率达66%。在PI+IMiD-based时代,MRD阴性率较低,实践应用还为时尚早。

图2 每年接受化疗/新药的患者百分比叠加面积图
MRD阴性或可停止维持治疗?MRD在临床实践中应用进展
基于当前临床试验的数据,MRD在临床实践和治疗决策中作用主要包括评价治疗疗效、调整维持治疗强度和时间、引导早期挽救性干预等。Paiva等人11说明了MRD在评价治疗疗效中的价值,PETHEMA/GEM2012研究包括硼替佐米
、来那度胺、地塞米松(VRd)诱导治疗(6个周期)、ASCT和VRd巩固治疗(2个周期)三个阶段,采用MRD检测评价各阶段的疗效:诱导后MRD阴性率为28%,ASCT后为42%,巩固后为45%。根据MRD对数水平对患者进行分组:(1)≥10-4;(2)≥10-5至<10-4和(3)≥10-6至10-5,MRD对数水平(3)组的患者比例从ASCT后的9%增加至巩固治疗后的19%。
本次ASH会议有学者探讨了基于MRD结果的停止治疗12。该项前瞻性Ⅱ期研究(NCT05192122)已纳入31例在ASCT后完成了≥2年的维持治疗并且符合疗效评估≥PR的MM患者,进行两次骨髓MRD检测,每次间隔一年。持续MRD阴性且PET-CT未见新骨病变的患者则停止维持治疗。该研究结果将会在后续公布。
专家点评
李颢 教授
MRD是目前MM研究中最热门的问题之一,其预后价值无可辩驳,MRD阴性也越来越被更多临床试验作为研究终点,但是否可以提供治疗指导尚未最终定论。随着免疫靶向治疗的飞速发展,CD38单抗、双特异性抗体、CAR-T细胞以及小分子靶向药物等新型治疗方法相继涌现,不断为MM患者带来新的可能。有数据显示,在治疗方案中加入CD38单抗可根据MRD是否持续阴性进行治疗方案的调整,若MM患者达到MRD阴性,可考虑停药。但现实与理想仍有一定差距,中国MM目前的治疗仍以PI+IMiD为主,实现MRD持续阴性还任重道远。相信随着药物可及性的进一步提高,更多探索性研究的不断深入,MRD的价值将会更好地发挥出来。

李颢 教授
山东大学齐鲁医院血液科主任医师
医学博士、硕士研究生导师
山东大学齐鲁医院血液科浆细胞
疾病专业副主任
中华医学会血液学分会淋巴细胞疾病学组委员
中国医药教育协会血液学专业委员会委员
中国老年医学学会血液学分会多发性骨髓瘤学术工作委员会委员
中国老年学学会血液病专家委员会委员
山东省抗癌协会血液肿瘤专业委员会多发性骨髓瘤工作组副组长
山东省研究型医院协会淋巴瘤免疫治疗分会副主任委员
美国Rutgers University留学(2000-2001)
*Isatuximab尚未在中国大陆地区获批
MAT-CN-2333437