奇愈30分 | 赖洵教授:BV真实例:长周期BV方案续写治愈希望,普惠适合移植和不适合移植R/R cHL患者

来源:医脉通 2024.05.14
我要投稿

复发/难治性经典型霍奇金淋巴瘤(R/R cHL)患者的治愈机会有限。对于适合移植患者,大剂量化疗序贯自体造血干细胞移植(HDT-ASCT)是其二线标准治疗,在移植前实现完全缓解(CR)是长期有利结局的有力预测指标1,但常规化疗方案CR率(CRR)较低,患者长期生存尚不理想;对于部分因高龄、合并症等因素不适合移植的患者,治疗选择有限且预后较差。研究显示,维布妥昔单抗(BV)疗效及安全性良好,可为适合移植和不适合移植患者带来显著临床获益,具有广阔应用潜力。


为更好传递淋巴瘤领域最新进展,我们发起了《奇愈30分》文献解读专栏,邀请国内淋巴瘤专家,聚焦cHL前沿进展,以声音为媒介,与大家分享国内外最新学术观点。本期特邀云南省肿瘤医院赖洵教授解读BV联合方案治疗真实世界不适合移植R/R cHL患者或桥接移植治疗适合移植患者的疗效和安全性。


点击音频,听赖洵教授为您解读本期文献


现实见真章,R/R cHL患者可从BVB治疗中长期获益


对于R/R cHL患者,HDT-ASCT的治愈率约50%至60%。ASCT后复发或不适合移植患者的治疗选择有限,且往往难以获得长期缓解。此外,异基因干细胞移植被认为是一种潜在的治愈选择,但由于后续治疗可能无法产生持久深度应答,因此可行性较低1


最近有研究显示,无论是否适合移植,BVB(BV+苯达莫司汀)方案对R/R cHL患者均是一种有前景的治疗方法。2022年Clinical Lymphoma Myeloma and Leukemia上发布的一篇真实世界研究1探讨了适合移植和不适合移植R/R cHL患者接受BVB治疗的长期临床获益。


01研究设计


该回顾性研究纳入来自意大利11个医疗中心的CD30阳性R/R cHL患者,均拟接受BVB治疗。第1天静脉输注BV 1.8 mg/kg,第1天和第2天静脉输注B 90 mg/m2,21天为1个周期,最多8个周期。研究的主要终点是BVB治疗后的总缓解率(ORR)和CRR,次要终点包括安全性、无进展生存期(PFS)和总生存期(OS)。


02研究结果


2015年7月至2020年6月间共纳入41例患者,中位年龄为36岁,其中28例(68%)患者处于疾病晚期(III期/IV期),28例(68%)为原发性难治,6例(14.6%)为首次复发,26例(63%)既往接受过BV单药治疗(16例[39%]未达缓解)。19例患者接受了最多4个周期的BVB治疗,21例患者接受了至少6个周期的治疗。


缓解结果


在40例可评估疗效的患者中,ORR和CRR分别为75%和50%。在原发性难治患者与复发患者间(ORR 71% vs 83%;CRR 43% vs 67%)、既往接受过≤2线治疗患者与既往接受过≥3线治疗患者间(ORR 73% vs 76%;CRR 47% vs 52%),未观察到ORR和CRR的显著差异。既往接受过BV单药治疗或缓解程度未显著影响患者对BVB治疗的应答,既往接受过BV治疗患者与未接受过BV治疗患者的ORR和CRR分别为72% vs 80%和52% vs 47%。值得注意的是,相较于接受4个或更少周期BVB治疗的患者,完成至少6个周期BVB治疗患者的CRR(57% vs 42%)有更高趋势,提示治疗周期数与缓解深度间存在一定相关性,延长BVB治疗周期为更大限度提高不适合移植患者的治疗获益提供了可能性(图1)。


640.jpeg

图1 整体人群和预先定义亚组的缓解情况


共有15例(36.6%)产生应答的患者接受了移植。其中9例在4个周期BVB治疗后接受HDT-ASCT(7例)或异基因干细胞移植(2例),截至随访日期,8例患者仍存活且处于CR状态;另6例患者在接受≥6个周期BVB治疗后行HDT-ASCT(1例)或异基因干细胞移植(5例)。在其余未接受移植的患者中,8例患者经BVB治疗获得CR,其中4例在截止随访时仍处于缓解状态。


生存结局


中位随访38个月,在伴有多种不良预后特征的总人群中,中位PFS为26个月(图2),治疗结束时获得CR(未达到)的患者比获得部分缓解(PR;10.5个月)或未缓解(4个月)的患者PFS更长(图3)。


640 (1).jpeg

图2 总人群PFS


640 (2).jpeg

图3 BVB治疗结束时不同缓解情况患者的PFS


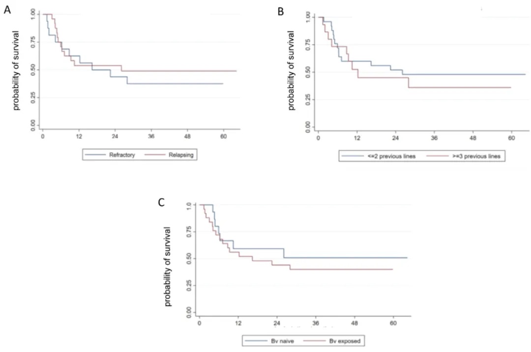
复发患者较原发性难治患者(未达到 vs 10.4个月)、既往接受过≤2线治疗患者较接受过≥3线治疗患者(26个月 vs 12个月)、未接受过BV治疗患者较既往接受过BV治疗患者(未达到 vs 16.3 个月),PFS延长趋势无统计学意义(图4)。


640 (3).jpeg

图4 预先定义亚组患者PFS


此外,与未接受移植的患者相比,接受移植治疗患者的PFS有延长趋势(未达到 vs 28个月),但差异无统计学意义(图5)。总人群及各亚组中位OS均未达到,与PR或未缓解患者相比,在CR患者中观察到OS有更长趋势(P=0.06)。


640 (4).jpeg

图5 接受移植与未行移植患者PFS


安全性


安全性方面,BVB耐受性良好,最常见的3级不良事件是感染(3例)、中性粒细胞减少(3例)和周围神经病变(2例)。未出现4级毒性。共6例患者出现任何级别的周围神经病变,均可通过对症治疗好转。


总结


该研究通过真实世界长期随访数据证实R/R cHL患者接受BVB治疗,疗效显著,耐受性良好。BVB可作为适合移植患者移植前桥接治疗优选或不适合移植患者的潜在治愈选择,且随BVB治疗时间延长,CRR有提高趋势,使更多患者有机会序贯移植,提示较长周期BV治疗可为患者带来更多获益。


参考文献
1.Moretti M, et al.Clin Lymphoma Myeloma Leuk. 2022 Mar;22(3):198-204.