前沿进展 | 罗素霞教授团队:HER2阳性胃癌新辅助治疗新路径

来源:医脉通消化系统肿瘤 2025.04.16
我要投稿

胃癌是全球范围内常见的恶性肿瘤之一,其中约15%-20%的患者存在人表皮生长因子受体2(HER2)过表达。对于HER2阳性胃或胃食管结合部(G/GEJ)腺癌,目前的标准治疗是根治性手术联合围手术期化疗,但治疗效果有限,两年无病生存(DFS)率为54%1。近年来,随着对HER2靶向治疗和免疫治疗的深入研究,新的治疗策略成为研究热点。近期,河南省肿瘤医院罗素霞教授团队Gastric Cancer杂志上发表一项研究2,旨在评估卡瑞利珠单抗联合曲妥珠单抗和CapOx作为HER2阳性G/GEJ腺癌新辅助治疗的抗肿瘤活性和安全性。医脉通编辑将研究内容整理如下,以飨读者。


研究背景


曲妥珠单抗作为HER2靶向药物在转移性胃癌和局部晚期肿瘤中显示出一定疗效,研究发现,HER2过表达与PD-L1水平升高可能会引发曲妥珠单抗耐药,因此将曲妥珠单抗与PD-1抑制剂联合使用可能具有协同抗肿瘤效果。基于KEYNOTE-811研究,FDA已批准帕博利珠单抗联合曲妥珠单抗和化疗用于HER2阳性局部晚期或转移性G/GEJ腺癌的一线治疗。近期临床试验进一步支持该策略,PD-1抑制剂联合曲妥珠单抗和化疗在HER2阳性可切除G/GEJ腺癌中具有更高的病理完全缓解率。


卡瑞利珠单抗作为一种PD-1抑制剂,在HER2阳性转移性胃癌中显示出优越疗效。该研究旨在评估卡瑞利珠单抗联合曲妥珠单抗和CapOx作为HER2阳性G/GEJ腺癌新辅助治疗的抗肿瘤活性和安全性。


研究方法


该研究为单臂、II期临床试验,入组标准为18-75岁,经病理确诊为HER2阳性(IHC 3+/ 2+且FISH+)的cT4和/或N+M0期G/GEJ腺癌患者;通过CT/MRI排查远处转移、骨扫描排查可疑骨转移、腹腔镜排查可疑腹膜转移、CT/MRI 排查可疑脑转移后确认可切除;ECOG评分0-1;未接受过化疗、靶向治疗或局部手术治疗。


入组患者接受四个周期的新辅助治疗:卡瑞利珠单抗(200 mg,iv,d1,q3w)+曲妥珠单抗(首剂8 mg/kg;后续6 mg/kg,iv,d1,q3w)+CapOx(奥沙利铂130 mg/m²,iv,d2;卡培他滨1000 mg/m²,po,bid,d1-14,q3w)。新辅助治疗后2-6周内进行胃切除术和D2淋巴结清扫术,术后接受4周期CapOx辅助治疗,治疗流程详见图1。


1.png

图1 入组患者治疗流程


研究的主要终点为病理完全缓解(pCR)率(定义为ypT0N0),次要终点包括接近pCR率(定义为ypT0)、肿瘤退缩分级(TRG)、R0切除率、术后90天死亡率、客观缓解率(ORR)、DFS、无事件生存期(EFS)、总生存期(OS)及安全性。


研究结果


2020年1月至2022年1月,共25例患者入组并接受新辅助治疗,中位年龄61岁,80% 为男性,均为III期(cT3 44%,cT4a 56%,均存在淋巴结受累)。入组患者基线信息详见表1。


表1 入组患者基线信息

2.png


25例患者中,24例(96%)完成3周期卡瑞利珠单抗治疗,18例(72.0%)完成4周期新辅助曲妥珠单抗联合CapOx治疗,3 例(12.0%)在3周期新辅助治疗后选择早期手术。新辅助治疗后,2例患者因个人意愿拒绝手术,最终23例患者接受手术。术后,23例患者中的20例(87.0%)接受了辅助CapOx治疗。


在25例可进行放射学评估的患者中,ORR为92%,其中3例为完全缓解(CR),20例为部分缓解(PR),新辅助治疗期间无患者出现疾病进展(PD)。23例接受手术的患者纳入病理评估。其中R0切除率为100%。pCR率为21.7%,接近pCR率为30.4%。PD-L1阳性(CPS≥1)患者和PD-L1阴性(CPS<1)患者的pCR率分别为27.3%(3/11)和16.7%(2/12)。TRG为0级、1级和2级的比例分别为21.7%、30.4%和 26.1%(表 2)。


表2 放射学及病理评估

3.png


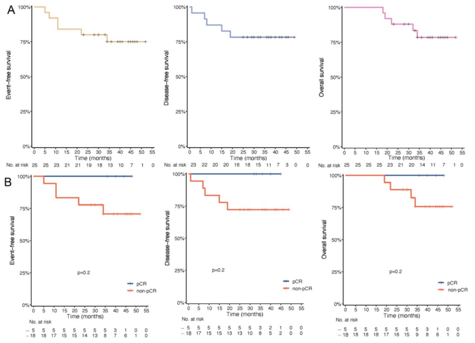
生存分析显示,中位随访时间为41个月,未达到中位DFS、EFS和OS。两年DFS、EFS和OS率分别为78.3%、80.0%和88.0%。三年DFS、EFS和OS率分别为78.3%、75.0% 和78.5%(图2)。


4.png

图2 生存分析


安全性分析显示,在新辅助治疗期间,所有患者都发生了任何级别的治疗相关不良事件(TRAE),其中9例(36%)患者发生了3级TEAE。最常见的任何级别TEAE是恶心(21 [84.0%])、疲劳(21 [84.0%])和食欲下降(21 [84.0%])。未报告4级或5级TEAE,详见表3。无治疗相关手术延迟或再手术,术后90天内无死亡,术后并发症均为1-2级。


表3 安全性分析

5.png


研究结论


卡瑞利珠单抗联合曲妥珠单抗和化疗作为新辅助治疗,在HER2阳性G/GEJ腺癌中显示出良好的病理缓解和可接受的安全性,且该方案未增加手术风险。研究结果支持将免疫治疗整合到HER2阳性胃癌的新辅助治疗中,为进一步开展随机对照试验提供了依据。