
特别关注|1990—2021年全球和中国急性病毒性肝炎疾病负担分析

急性病毒性肝炎
(AVH)是由多种肝炎病毒引起的以肝脏病变为主的一种传染病,包括甲型、乙型、丙型、丁型和戊型肝炎。AVH目前在世界范围内仍然普遍存在,尤其是对经济条件较差的地区影响更大,对肝脏健康和整体公共卫生构成了重大威胁。根据世界卫生组织提出的到2030年消除病毒性肝炎这一公共卫生威胁的目标,各地区采取了相应的防治措施并有显著效果。有报道显示,1990—2019年中国AVH展现出明显的下降趋势,其中,2010—2019年急性甲型肝炎(AHA)的年龄标准化死亡率降低了50%,急性乙型肝炎(AHB)降低了30%,急性丙型肝炎(AHC)和急性戊型肝炎(AHE)均降低了40%。
现如今,仍需要对AVH的当前负担和长期趋势进行全面研究。因此,本研究使用全球疾病负担研究2021(GBD 2021)数据库描述了1990—2021年中国和全球AVH发病率、死亡率和伤残调整生命年(DALY)的情况,为我国病毒性肝炎防治工作提供参考。

1资料与方法
本研究的相关数据均来源于GBD 2021数据库。GBD数据库采用IHME贝叶斯回归工具DisMod-M2 2.1对AVH的发病、死亡病例数及DALY等指标根据年龄、性别、年份和国家进行分析、建模与估算,既往研究方法均有介绍。
在对GBD 2021数据库进行数据选取时,疾病负担指标选择发病率、死亡率和DALY及其对应的年龄标准化率,时间选择1990—2021年各个年份,地区为全球和中国,人群按照性别和年龄分组(从<5岁~≥95岁,每5年1个间隔,共20个年龄组)进行数据提取。本研究涉及的数值、率和百分比,包括95%不确定区间(95%UI)的上、下限均直接来自GBD 2021数据库。中国地区范围内,涵盖了22个省(未包括台湾省)、5个自治区、4个直辖市以及2个特别行政区。所有地区数据的处理均严格遵循数据来源方的技术规范,任何地理区域的划分方式仅出于流行病学研究方法的需要。结果生成使用GBD 2021结果工具:https://vizhub.healthdata.org/gbd-results/。检索日期为2024年12月。
AVH是由特定肝炎病毒引起的肝脏急性炎症性疾病,其特点为病程通常≤6个月,以肝细胞损伤和肝功能异常为主要表现。GBD 2021对AVH的诊断基于第10版《国际疾病分类》(ICD-10),AVH(B15~B19.9、B94.2、P35.3)其中包括AHA(B15~B15.9)、AHB(B16~B16.9、B17.0、B18.0~B18.1、B19.1~B19.11)、AHC(B17.1~B17.11、B18.2、B19.2~B19.21)、AHE(B17.2)。丁型肝炎是病毒性肝炎的一种主要类型。丁型肝炎病毒
是一种缺陷病毒,常与HBV同时感染或共同感染。然而GBD 2021数据库并未纳入急性丁型肝炎数据,因此本研究未探讨急性丁型肝炎。
发病率是AVH分析的核心指标,反映一定时间内新发病例的规模。死亡率同样作为核心指标直接反映疾病的致死风险。DALY结合早亡和伤残影响,适用于评估疾病的短期失能与长期后遗症和综合健康损失。发病粗率、死亡粗率和DALY粗率分别为该指标在每10万人中的数值,未对其人口构成进行标准化。而年龄标准化发病率(ASIR)、年龄标准化死亡率(ASMR)和年龄标准化DALY率(ASDR)是基于GBD 2021数据库测算的指标,采用2021年世界标准人口构成进行年龄标化的率,即标化率,单位同粗率,是为减少不同地区或不同时间点由年龄构成不同而导致的统计差异,以此来确保评价指标的可比性。

2结果
1990—2021年,中国与全球AVH发病呈现显著变化。
(1)全球发病例数从266 388 077例下降至250 774 458例,累计降幅达5.86%,呈现波动性下降态势;同期中国发病例数则由65 757 649例显著减少至39 808 671例,累计降幅达39.46%,下降趋势同样明显(表1、2,图1a)。



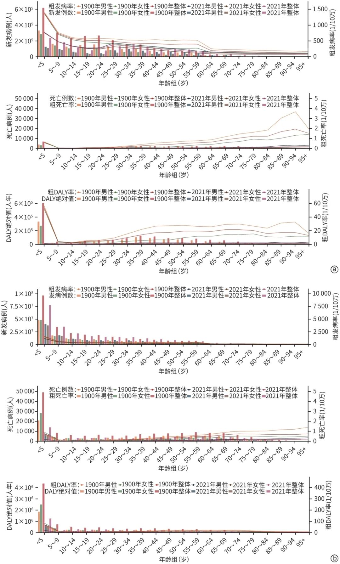
注: a,发病情况;b,死亡情况;c,DALY情况。
图1 1990—2021年全球和中国AVH各指标绝对值及其年龄标化率变化趋势
(2)全球ASIR从4 660.03/10万人降至3 411.51/10万人,AAPC为-1.02%(95%CI:-1.10%~-0.94%,P<0.001);中国ASIR从5 493.59/10万人降至3 301.09/10万人,AAPC为-1.63%(95%CI:-1.70%~-1.57%,P<0.001),呈显著下降趋势,全球和中国男女性的ASIR变化趋势与总体趋势一致(表1、2,图1a)。
(3)年龄分布特征显示,2021年,全球和中国发病高峰
仍集中在<5岁年龄段,但中国在30~34岁年龄段出现第2次发病高峰。此外,中国AVH的发病率在25~29岁年龄段呈上升趋势。进一步分析显示,这主要源于该年龄段中AHB发病率的增加,其中AHB病例占该年龄段AVH病例的59%。在性别构成上,1990—2021年男性占比持续偏高,全球男性占53%以上,中国高达57%以上,中国与全球的疾病负担占比均以男性为主(图2、3)。中国AVH发病占全球比例从1990—2021年由24%降至15%,呈现持续下降趋势。近年来,全球以AHA为主(占比>64%),而中国则以AHA(>48%)和AHB(>40%)共同主导,两者合计占中国病例的88%以上(表1、2)。

注: a,中国;b,全球。
图2 1990和2021年中国与全球AVH各年龄组的发病、死亡和DALY病例数及其粗率的比较

图3 2021年中国AVH各分型在不同年龄段之间的发病情况
1990—2021年,全球与中国死亡水平呈现出更为显著的改善趋势。
(1)全球死亡人数从160 352例降至71 846例,降幅达55.19%;中国死亡人数从31 234例大幅下降至3 018例,降幅高达90.34%(表1、2,图1b)。
(2)ASMR变化更为突出,全球ASMR从3.18/10万人降至0.92/10万人,AAPC为-3.97%(95%CI:-4.12%~-3.82%,P<0.001);中国ASMR从3.22/10万人降至0.16/10万人,AAPC达-9.24%(95%CI:-9.51%~-8.97%,P<0.001)。全球ASMR总体趋势1990—2021年逐渐下降,中国则在2006年前下降明显,之后趋于平缓。全球和中国男女性的ASMR变化趋势与总体趋势一致(表1、2,图1b)。
(3)死亡病例的年龄分布呈现出不一样的表现,相较于1990年,2021年全球死亡高峰仍见于<5岁儿童,而中国死亡高峰已转移至35~89岁年龄段。在性别构成上,全球与中国均以男性疾病负担占主体地位,全球男性死亡占比56%,中国则高达73%(图2)。占比方面,中国死亡病例占全球比例1990—2021年由19%降至4%,表现出明显的下降趋势。分型构成显示,近年来AHB已成为全球(>50%)和中国(>80%)最主要的死亡构成(表1、2)。
1990—2021年,DALY这一疾病负担指标显示同样积极的趋势。
(1)全球DALY绝对值从9 841 371降至4 228 048,降幅57.04%;中国从1 656 678大幅下降至179 098,降幅达89.19%。ASDR方面:全球从177.42/10万人年降至56.74/10万人年,AAPC为-3.64%(95%CI:-3.84%~-3.44%,P<0.001);中国从152.77/10万人年降至11.88/10万人年,AAPC达-7.93%(95%CI:-8.15%~-7.71%,P<0.001)(表1、2,图1c)。
(2)全球ASDR在2005和2006年总体变化趋势与其男女性变化趋势近乎相似,不同于中国ASDR总体趋势展现出2006年之前明显的下降,随后逐渐缓慢,中国男女性变化趋势与其总体趋势一致(表1、2,图1c)。
(3)DALY的年龄分布特征与死亡模式相似,与1990年相比,2021年全球高峰仍在<5岁年龄段,而中国高峰已转移至30~59岁年龄人群。性别分布上,全球男性占59%,中国高达74%,全球与中国均以男性疾病负担为主(图2)。占比构成方面,1990—2021年中国DALY占全球比例由16%降至4%,下降趋势显著。在分型构成中,近年来AHB已成为全球(>47%)和中国(>69%)DALY的主要构成部分(表1、2)。

3讨论
本研究基于GBD 2021数据库,系统分析了1990—2021年全球与中国AVH的疾病负担变化趋势,研究主要从总体趋势特征、年龄分布、性别差异和占比构成这几个维度展开分析。研究结果显示,过去30年间,全球与中国AVH的ASIR、ASMR和ASDR均呈现显著下降趋势。在全球范围内,AVH的发病、死亡及DALY高峰均集中在<5岁儿童群体;中国AVH的发病高峰仍主要集中在<5岁儿童群体,近年来,中国25~29岁青壮年人群的发病率呈现上升趋势,而各年龄段的死亡率和DALY较历史水平明显降低,呈现出更为稳定和可控的态势。此外,无论是在中国,还是全球范围内,AVH疾病负担均呈现出男性的比重高于女性。在各分型占比构成方面,全球与中国的发病率以AHA占比构成为主;全球与中国的死亡率和DALY均以AHB为主。
AVH是一种不可忽视的传染病,未经防治将会导致更严重的症状以及加重患病地区和人群的健康负担。然而,随着世界范围内生活水平的提高,医疗防治策略的制定与实施,以及疫苗的广泛使用,AVH的疾病负担已经下降。与既往研究结果一致,1990—2021年,我国各项指标的病例数均呈现出显著的下降,相比于全球水平明显下降幅度更大。此外,在我国,各项指标于2001—2004年变化率降幅最大,且发病率在2019—2021年出现第2次降幅高峰,这很大程度上与中国政府对病毒性肝炎的重视和综合防控政策密不可分。此外,一项基于社会人口学指数的分层研究表明,社会经济状况与AVH的负担呈显著相关性。在医疗资源有限、发展水平较低的国家和地区,AVH的负担最重;而社会经济发达的国家和地区受影响最小。随着我国经济持续发展,我国AVH的整体防控工作也不断向好发展,未来需继续加强对该病的监测,并采取针对性有效且精准的策略,以进一步减轻其带来的疾病负担。
本次研究观察到,2021年中国AVH的发病率在25~29岁年龄段呈上升趋势。结果显示,这一上升主要源于该年龄段AHB发病率的增加。其潜在机制可能涉及三个方面:青年人群性行为活跃度和生活方式改变导致的性传播风险增加、25~44岁未接种疫苗成年人群体的存在,以及15~19岁育龄期妇女妊娠相关疾病和戊型肝炎感染率上升的叠加影响。这一研究结果提示,我国针对青年人感染AVH仍需要加强管理,强调了对AHB预防的重要性。其次,1990—2021年的数据显示,全球和中国范围内男性的疾病负担指标均显著高于女性,这种性别差异可能与性激素对乙型肝炎表面抗原的调控、免疫相关遗传基因多态性以及性别特异性行为因素密切相关,其具体机制有待进一步研究阐明。
本研究存在以下方法学局限性:首先,GBD 2021数据库中的AVH数据虽经标准化建模和严格质量控制,但因多源数据异质性仍可能存在测量偏倚和潜在可比性局限;其次,中国台湾地区的数据在GBD 2021数据库中采用“中国台湾省”(Taiwan, Province of China)的标准编码进行独立存储,为确保研究数据来源的一致性和完整性,避免因数据整合可能带来的系统性偏差,本文维持了该地区数据的独立存储状态,未将其与中国大陆地区数据进行合并处理。此外,因GBD 2021未收录急性丁型肝炎的数据,本研究结果未涵盖该亚型。
综上所述,1990—2021年全球与中国AVH疾病负担均呈下降趋势,但近年来在我国青壮年人群中发病率呈上升趋势,尤以AHB增高为主,需实施精准防控策略。

https://www.lcgdbzz.org/cn/article/doi/10.12449/JCH251010

郑思为, 李莎莎, 王嘉洛, 等 . 1990—2021年全球和中国急性病毒性肝炎疾病负担分析[J]. 临床肝胆病杂志, 2025, 41(10): 2013-2021
来源:临床肝胆病杂志
医脉通是专业的在线医生平台,“感知世界医学脉搏,助力中国临床决策”是平台的使命。医脉通旗下拥有「临床指南」「用药参考」「医学文献王」「医知源」「e研通」「e脉播」等系列产品,全面满足医学工作者临床决策、获取新知及提升科研效率等方面的需求。
本平台旨在为医疗卫生专业人士传递更多医学信息。本平台发布的内容,不能以任何方式取代专业的医疗指导,也不应被视为诊疗建议。如该等信息被用于了解医学信息以外的目的,本平台不承担相关责任。本平台对发布的内容,并不代表同意其描述和观点。若涉及版权问题,烦请权利人与我们联系,我们将尽快处理。
